Langvarige søvnvansker – kan de behandles?

    ()

    sporsmal_grey_rgb
    Abstract

    Rundt 10 % av befolkningen lider av kronisk insomni. Man kan dele insomniene inn etter om de er primære (uten åpenbar årsak) eller sekundære til andre lidelser. Ved kronisk primær insomni anbefales ikke-medikamentell behandling, men slik behandling er lite kjent i Norge. Her vises resultater fra behandling ved et spesialistsenter i Bergen.

    22 pasienter (ti menn og 12 kvinner) med kronisk primær insomni inngikk i undersøkelsen. Gjennomsnittsalderen var 40 år. Pasientene hadde hatt insomniplager i ni år i gjennomsnitt. De gjennomgikk et kortvarig strukturert behandlingsopplegg med søvnrestriksjon og stimuluskontroll som hovedbehandling. Mediant antall konsultasjoner var fem. Pasientene fylte ut søvndagbøker kontinuering fra to uker før behandlingen startet. Ukentlige gjennomsnittsverdier utregnet fra søvndagbøkene før og etter behandling ble statistisk sammenliknet.

    Total våkenhet om natten (summen av søvnlatens, lengde på nattlige oppvåkninger og våkenhet om morgenen) ble redusert med rundt to timer. Søvneffektiviteten (total søvntid dividert på tid i sengen) økte fra 65 % til 86 %. Søvnlengde og subjektiv søvnkvalitet ble også forbedret. Forbruket av hypnotika ble redusert.

    Resultatene er oppløftende, og viser at slik ikke-medikamentell behandling synes effektivt ved kronisk primær insomni. Undersøkelsen er uten randomisering og kontrollgruppe, og bør derfor tolkes med forsiktighet. Fra utlandet foreligger imidlertid randomiserte kontrollerte undersøkelser som dokumenterer effekten av søvnrestriksjon og stimuluskontrollbehandling ved kronisk insomni.

    Abstract

    Epidemiological studies show that approximately 10 % of the population suffer from chronic insomnia. Insomnia can be classified as primary (without any obvious cause) or secondary to other disorders. Non-pharmacological treatment (i.e. sleep restriction, stimulus control treatment) is recommended in chronic primary insomnia, but this kind of treatment is unknown to most Norwegian health-care providers. This paper presents data from such treatment at a sleep disorders centre in Bergen, Norway.

    Twenty-two patients (10 men, 12 women; mean age 40 years) with chronic primary insomnia were included in the study. They had on average had insomnia for nine years. They went through a structured behavioural treatment regime with sleep restriction and stimulus control as the main components. Median number of consultations was five. The patients completed sleep diaries every week, from two weeks before the treatment started. Weekly averages obtained from the sleep diaries before and after behavioural treatment were statistically evaluated.

    Total wake time (summation of sleep-onset latency, wake after sleep onset and early morning awakening) was reduced by two hours. Sleep efficiency (total sleep time divided by time in bed) increased significantly from 65 % to 86 %. Total sleep time and subjective sleep quality also improved. The use of hypnotic medication was significantly reduced.

    The results indicate that this non-pharmacological treatment is effective in chronic primary insomnia, also in a Norwegian population. There was no control group in this study, and it should be interpreted with caution. However, randomized controlled trials from other countries document the efficacy of sleep restriction and stimulus control treatment in chronic insomnia.

    Artikkel

    Med insomni mener vi en utilstrekkelig eller inadekvat søvn som resulterer i nedsatt funksjonsnivå på dagtid i form av tretthet, humørsvingninger og redusert yte- og konsentrasjonsevne. Insomnien kan bestå av innsovningsproblemer, urolig nattesøvn og/eller tidlig morgenoppvåkning, eller at søvnkvaliteten er dårlig.

    Flere undersøkelser, både i Norge og i utlandet, viser at rundt en tredel av den voksne befolkning plages av søvnvansker i perioder (1 – 3). Kronisk insomni, dvs. søvnvansker ofte eller hver natt over lengre tid, rapporteres hos ca. 10 % (2, 3). Blant pasienter i allmennpraksis er prevalensen av kronisk insomni nesten dobbelt så høy (4, 5). I diagnose-resept-undersøkelsen i Møre og Romsdal var søvnvansker den hyppigst forekommende diagnostiske indikasjon for å skrive ut en resept (6).

    Det finnes flere ulike klassifiseringssystemer av søvnvansker. For enkelthets skyld kan man dele insomniene inn etter om de er primære eller sekundære. Finner man en sannsynlig bakenforliggende årsak til søvnvanskene (sekundær insomni), rettes behandlingen mot denne. Slike årsaker kan for eksempel være psykiske lidelser, respirasjonsforstyrrelser, døgnrytmeforstyrrelser, ulike somatiske lidelser, periodiske nattlige beinbevegelser, alkohol- eller annet stoffmisbruk eller bivirkninger av medikamenter. En vanlig årsak til kronisk insomni er depresjon (7), og ofte forsvinner søvnproblemene når depresjonen behandles. Man regner med at et flertall av insomniene er sekundære. Hos mange pasienter finner man imidlertid ingen åpenbar årsak til søvnplagene, og disse klassifiseres under diagnosen primær insomni. Prevalenstallene varierer, men mellom 1 % og 5 % av befolkningen ser ut til å lide av kronisk primær insomni (8, 9). Denne diagnosen er sannsynligvis langt hyppigere blant pasienter i allmennpraksis (10).

    Behandlingen av pasienter med kronisk insomni er inadekvat (3). Ofte benyttes hypnotika, selv om hypnotika ikke anbefales brukt ved langvarige søvnvansker, fordi effekten av langtidsbehandling er omdiskutert (2, 10). I de senere år har det vært publisert flere metaanalyser som dokumenterer effekten av ikke-medikamentell behandling ved kronisk insomni (11, 12). Dette bør være hovedbehandling ved langvarige søvnplager uten klar bakenforliggende årsak (10, 11). Dessverre er denne behandlingen lite kjent blant norsk helsepersonell. Prinsippene bak ikke-medikamentell behandling av søvnvansker har vært omtalt i Tidsskriftet tidligere (13, 14). Jeg vil i denne artikkelen presentere resultater fra behandling av pasienter med kronisk primær insomni.

    Materiale og metode

    Materiale og metode

    Bergen Søvnsenter er et privat spesialistsenter som drives av fire leger (psykiater, øre-nese-hals-lege, klinisk nevrofysiolog, søvnforsker/allmennlege). Pasienter med søvnplager kan oppsøke senteret direkte eller etter henvisning fra lege. Kontorpersonalet avgjør hvem pasienten primært settes opp til, avhengig av pasientens plager. I hovedsak kommer pasientene fra Bergens-området, men vi behandler pasienter med kronisk insomni fra alle landsdeler.

    Pasienter

    Pasienter

    Utvalget i denne undersøkelsen består av alle pasienter med kronisk primær insomni som oppsøkte Bergen Søvnsenter i løpet av halvannet år (1997 – 98) og som fikk ikke-medikamentell behandling. Det betyr at pasienter hvor man mistenkte en bakenforliggende årsak til søvnvanskene, som for eksempel depresjon, ble ekskludert fra undersøkelsen. Diagnostisering av primær insomni kan være vanskelig. Enkelte av pasientene i denne undersøkelsen rapporterte om dårlig humør, men tilfredsstilte enten ikke kriteriene for en depressiv diagnose eller insisterte selv på at problemet i hovedsak var dårlig søvn, ikke depresjon. Pasienter som fikk antidepressiv medikasjon og/eller annen farmakologisk behandling av søvnvanskene, inngår ikke i undersøkelsen.

    22 pasienter (ti menn og 12 kvinner) med en gjennomsnittsalder på 40 år (26 – 53 år) inngikk i undersøkelsen. Kartleggingen av søvnproblemene viste at de fleste pasientene rapporterte om problemer både med innsovning, urolig søvn og tidlig morgenoppvåkning. En av 22 pasienter rapporterte ingen problemer med innsovning, to av pasientene ingen urolig nattesøvn og to av pasientene hadde ikke problemer med tidlig morgenoppvåkning. Under utredningen ble pasientene også bedt om å gradere på en fempunkts skala (veldig fornøyd, ganske fornøyd, passe fornøyd, ganske misfornøyd, veldig misfornøyd) hvor tilfreds de var med søvnen sin. Svarene fordelte seg mellom veldig misfornøyd (20 av 22 pasienter) og ganske misfornøyd (to pasienter). Pasientene besvarte også et spørsmål om søvnproblemet påvirket den daglige funksjonen (dagtidstretthet, mulighet til å fungere i arbeid/fritid, konsentrasjon, hukommelse, humør). 13 pasienter svarte ”veldig mye”, åtte svarte ”mye”, en pasient svarte ”noe”, mens ingen krysset av på ”litt” eller ”ikke i det hele tatt”. Pasientene angav at de hadde hatt søvnproblemer i 9 ± 1 år (spredning 1 – 20 år). De fleste hadde prøvd forskjellige råd mot plagene, som for eksempel akupunktur, homøopati, fotsoneterapi, kinesiologi, healing, hypnose, psykomotorisk fysioterapi og naturmidler.

    Behandlingsopplegg

    Behandlingsopplegg

    Ved første konsultasjon gjennomgikk pasientene en omfattende kartlegging av søvnproblemene ved hjelp av spørreskjema og samtale. Deretter ble søvnen kartlagt de neste to ukene med søvndagbøker, hvor pasientene daglig registrerte parametere som inntak av sovemedisiner, sengetid, søvnlatens, antall og lengde på nattlige oppvåkninger, tidspunkt for når han/hun våknet om morgenen og når han/hun stod opp og subjektiv søvnkvalitet (1 = veldig lett, 3 = middels, 5 = veldig dyp). Pasientene ble instruert i å sove som vanlig disse ukene, og data fra denne perioden ble benyttet som utgangsverdier før behandling. Pasientene fortsatte deretter å føre søvndagbøker gjennom hele behandlingsperioden. Søvndagbøkene dannet grunnlaget for å regne ut ukentlige gjennomsnittsverdier for de ulike parametrene. Søvnlengden ble utregnet ved å subtrahere total våkenhet om natten (summen av søvnlatens, lengde på nattlige oppvåkninger og våkenhet om morgenen) fra tiden i sengen (definert som tiden fra lyset blir slukket til pasienten står opp om morgenen).

    Pasientene ble i hovedsak behandlet med en kombinasjon av søvnrestriksjon og stimuluskontrollbehandling. I tillegg ble betydningen av søvnregulering og søvnhygieniske forhold tatt opp i konsultasjonene. Kort beskrevet tar søvnrestriksjon sikte på å redusere tiden i sengen til den tiden pasienten reelt sover (15). Søvndagboken benyttes til å regne ut søvnlengden. Tiden pasienten får oppholde seg i sengen, justeres fra konsultasjon til konsultasjon, basert på endringer i søvneffektiviteten (total søvntid dividert på tid i sengen). Er søvneffektiviteten over 80 – 85 %, økes tid i sengen med 15 minutter, hvis ikke, reduseres tid i sengen med 15 minutter eller man fortsetter som før. Implementeringen av søvnrestriksjon i dette arbeidet var fleksibel, og individuelle justeringer ble gjort hvis pasientene ikke klarte å følge opplegget. Tid i sengen ble aldri redusert til under fem timer. Stimuluskontrollbehandling går ut på å korrigere uheldig søvnatferd og å styrke assosiasjonen mellom søvn og seng (16). Pasienten får et sett med instruksjoner som skal følges nøyaktig. Det understrekes at sengen skal brukes til å sove i. Får man ikke sove, skal man stå opp, gå ut av soverommet og ikke returnere til sengen før man igjen er trett. Tidspunktet for å stå opp om morgenen er bestemt på forhånd, og skal ikke justeres etter hvor mye søvn pasienten reelt får hver natt. Det er ikke tillatt å sove på dagtid. Tabell 1 viser instruksjonene som pasientene får med seg ved oppstart av behandlingen.

    Tabell 1  

    Søvnrestriksjon og stimuluskontrollbehandling

    1.Begrens tiden du tilbringer i sengen til den tiden du faktisk sover, dvs. _____timer

    2.Gå til sengs kun når du er trett/søvnig

    3.Får du ikke sove innen 10 – 15 minutter, stå opp og gjør noe annet til du igjen blir trett. Gjelder også ved oppvåkninger om natten. Dette gjentas så ofte som nødvendig natten igjennom

    4.Stå opp til samme tid hver dag, uavhengig av antall timer med søvn

    5.Sengen/soverommet brukes for søvn og sex. Ikke les, spis eller se TV i sengen

    6.Sov ikke om dagen (forstyrrer døgnrytmen)

    Totalt antall konsultasjoner per pasient varierte mellom fire og sju, med fem konsultasjoner som median.

    Statistikk

    Statistikk

    Dataene ble analysert med statistikkpakken SPSS. Ukentlige gjennomsnittsverdier ( ± SEM) for de ulike parametrene utregnet fra søvndagbøker utfylt før behandling og ved avsluttet behandling ble sammenliknet ved hjelp av parede t-tester. Signifikansnivå ble satt til 0,05.

    Resultater

    Resultater

    Figur 1 viser at ikke-medikamentell behandling ved kronisk primær insomni medførte en signifikant reduksjon i søvnlatensen, lengden på nattlige oppvåkninger og våkenheten om morgenen. Total våkenhet i løpet av natten ble redusert fra 175 ± 16 til 58 ± 6 minutter (p< 0,001). Total søvntid økte fra gjennomsnittlig 323 ± 13 til 348 ± 7 minutter (p< 0,05).

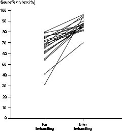
    Søvneffektiviteten økte fra 65 ± 3 til 86 ± 1 % (p< 0,001). Figur 2 viser hver enkelt pasients endring i søvneffektivitet fra før til etter behandling. Alle pasientene rapporterte forbedring. Pasientenes selvrapporterte søvnkvalitet økte fra 2,7 ± 0,2 til 3,1 ± 0,1 (p< 0,05). Hypnotikaforbruket ble signifikant redusert i løpet av konsultasjonsperioden. Før behandling ble hypnotika benyttet av 73 % av pasientene (16 av 22 personer), og i gjennomsnitt 3,1 ± 0,6 dager per uke. I løpet av behandlingen seponerte ni pasienter hypnotika (dvs. at sju av 22 fremdeles benyttet hypnotika), og forbruket i dager per uke var redusert til 1,2 ± 0,5 (p< 0,001). Også blant pasientene som fremdeles brukte sovemedisiner, var forbruket redusert.

    Diskusjon

    Diskusjon

    Dataene indikerer at pasienter med kronisk primær insomni effektivt kan behandles med en kombinasjon av søvnrestriksjon og stimuluskontroll. Før behandling klaget alle pasientene over alvorlige søvnplager og nedsatt funksjonsnivå på dagtid. I gjennomsnitt hadde søvnproblemene vart i ni år, og de fleste pasientene hadde prøvd forskjellige behandlingsråd, som for eksempel hypnotika, naturmidler, akupunktur og fotsoneterapi, uten tilfredsstillende effekt på søvnen.

    Behandlingen reduserte total våkenhet om natten med nesten to timer. Søvneffektiviteten økte fra 65 % til 86 %. Søvneffektiviteten ligger over 85 % hos personer med normal søvn, og regnes som den beste parameteren for vurdering av søvn og behandlingseffekt (17). Pasientenes totale søvnlengde økte også signifikant, men denne parameteren regnes ikke som spesielt god når det gjelder å vurdere behandlingseffekt. Det er ikke uvanlig at pasienter rapporterer subjektivt bedre søvn, selv om søvnlengden ikke er økt. Dette forklares ved at de fleste foretrekker fem timer med sammenhengende søvn fremfor en total søvnlengde på seks timer oppstykket av flere oppvåkninger. Dette er en av grunnene til at søvneffektiviteten ofte benyttes i denne type forskning. Pasientenes selvrapporterte søvnkvalitet økte også signifikant. Det er verdt å bemerke at resultatene i denne undersøkelsen er oppnådd samtidig som forbruket av hypnotika ble redusert.

    Selv om resultatene er oppløftende, vil jeg understreke flere svakheter ved denne undersøkelsen. Det er ingen randomisering eller bruk av egne kontrollgrupper. Resultatene baserer seg på subjektive data, ingen objektive data (for eksempel polysomnografi) er innhentet. Det foreligger heller ingen oppfølgingsdata for å vise om endringen i søvnmønster opprettholdes. Resultatene baserer seg på en gjennomgang av alle journaler i et gitt tidsrom som ledd i intern kvalitetssikring. Dette er imidlertid første norske undersøkelse av ikke-medikamentell behandling ved kronisk insomni. Fra utlandet foreligger det flere gode undersøkelser av denne type behandling, både med randomisering, kontrollgruppe, objektive data og oppfølgingsresultater (18 – 20). Disse undersøkelsene dokumenterer effekten av søvnrestriksjon og stimuluskontrollbehandling, både subjektivt og objektivt.

    Ifølge en metaanalyse (59 behandlingsundersøkelser, 2 102 pasienter) er søvnrestriksjon og stimuluskontrollbehandling mest effektivt ved kronisk insomni (11). Resultatene av slik behandling viser at rundt 80 % av pasientene rapporterer bedre søvn (11). Stimuluskontrollbehandling har også vært prøvd ut i allmennpraksis (20). Seks allmennpraktikere i Canada deltok i undersøkelsen etter et tre timers opplæringskurs. Resultatene viste at 80 % av pasientene reduserte søvnlatensen, og forbruket av hypnotika ble redusert (20).

    Det mest imponerende ved denne ikke-medikamentelle behandlingen er at den forbedrede søvnen ser ut til å holde seg over tid. Oppfølging med søvndagbøker fra seks måneder til to år etter avsluttet behandling har dokumentert at effekten vedvarer (11, 18, 20). I en nylig publisert randomisert kontrollert undersøkelse sammenliknet forfatterne effekten av farmakoterapi og atferdsterapi (kombinert stimuluskontroll, søvnrestriksjon, søvnhygiene og kognitiv terapi) hos pasienter over 55 år med kronisk primær insomni. Både farmakoterapi og atferdsterapi var effektive initialt, men den positive behandlingseffekten vedvarte kun for gruppen som fikk atferdsterapi (19). Her var oppfølgingstiden på to år.

    Behandling med søvnrestriksjon og stimuluskontroll er ikke effektivt hos alle pasienter med kronisk primær insomni. Målsettingen med dette arbeidet var å vise at enkelte såkalt håpløse tilfeller med langvarige søvnplager kan hjelpes. Det er motiverende å være behandlende lege når pasienter som har prøvd ”alt” og nærmest gitt opp, likevel kan få tilbake tilfredsstillende søvn i løpet av et kortvarig strukturert behandlingsopplegg. Antall konsultasjoner var gjennomsnittlig fem, nokså likt det som rapporteres i andre undersøkelser (11). Det er tidligere dokumentert at pasienter med kronisk insomni sjelden viser tegn til spontan bedring (18), noe som sannsynliggjør at resultatene skyldes behandlingen. En forutsetning for at denne type behandling skal lykkes er at pasienten er motivert. Alle pasientene i denne undersøkelsen var motivert til å prøve ikke-medikamentell behandling av søvnplagene. Både søvnrestriksjon og stimuluskontrollbehandling er krevende behandlingsopplegg. Ofte forverres søvnen initialt. Slik behandling er derfor vanskelig å gjennomføre med pasienter som kun kommer på kontoret med et ønske om resept på et sovemiddel, og som ikke er interessert i å gjøre en innsats selv. Her gjelder det å gi grundig informasjon om ulemper ved langvarig hypnotikabruk, og å motivere pasienten for annen type behandling. Det er interessant å bemerke at undersøkelser fra utlandet viser at insomnipasienter foretrekker ikke-medikamentell fremfor medikamentell behandling av sine plager (10, 21). Om det er slik i Norge også, er uklart.

    Kommentarer  ( 0 )

    Anbefalte artikler