Polycystisk lipomembranøs osteodysplasi med skleroserende leukoencefalopati

    ()

    sporsmal_grey_rgb
    Abstract

    Polycystisk lipomembranøs osteodysplasi med skleroserende leukoencefalopati (PLO-SL) (Nasu-Hakolas syndrom) er en sjelden årsak til tidlig debuterende demens, der den mentale reduksjonen er kombinert med cystiske lesjoner i skjelettet.

    I denne artikkelen presenteres sykehistorien til to brødre fra Hitra, begge med polycystiske lesjoner i skjelettet og med tidlig demensutvikling. Deres foreldre var i slekt med hverandre. Den ene broren fikk diagnosen først retrospektivt, og hos den andre pasienten ble diagnosen ikke erkjent, selv ikke da han pådrog seg flere frakturer uten helt adekvat traume. Det er derfor grunn til å anta at sykdommen kan være underdiagnostisert i Norge. Mental status hos pasienter med multiple beincyster bør av denne grunn vurderes, og alle pasienter med tidlig debuterende etiologisk uklar demens bør undersøkes med røntgen av hender og/eller føtter.

    Abstract

     

    Background. Polycystic lipomembranous osteodysplasia with sclerosing leukoencephalopathy (Nasu-Hakola syndrome) (PLO-SL) is an unusual cause of early dementia in which the decline in cognitive function is associated with multiple bone cysts, in particular in hands and feet. About 165 cases of this autosomal recessive hereditary disease have been reported worldwide, mostly from Finland and Japan.

    Material and methods. In this article, case histories of PLO-SL are presented of two brothers who were born to consanguineous parents on an island outside the western coast of Norway. They are the 3rd and 4th patients in Norway described with this disorder.

    Results. One of the brothers was diagnosed retrospectively and the diagnosis was not made in the other even when he had fractures without entirely adequate trauma.

    Interpretation. It is suspected that the disease is underdiagnosed. For this reason, all patients with polycystic lesions in the skeleton should be evaluated for their mental state and all patients with an etiologically unclear dementia before the age of 50 should be investigated with x-rays of hands and/or feet.

    Artikkel

    Polycystisk lipomembranøs osteodysplasi med skleroserende leukoencefalopati (PLO-SL) ble i begynnelsen av 1970-årene for første gang nærmere beskrevet av Nasu og medarbeidere i Japan og av Hakola i Finland, og har av den grunn fått eponymet Nasu-Hakolas syndrom (1, 2). Sykdommen er en sjelden årsak til tidlig debuterende demens, der de mentale symptomene er kombinert med multiple beincyster og degenerative forandringer i nerve- og fettvev. På verdensbasis er det hittil registrert 160 – 170 tilfeller (Hakola, personlig meddelelse, 1999), hvorav omtrent 80 i Japan og 35 i de sentrale/østlige regioner i Finland. I Norge er det tidligere kun beskrevet to pasienter med denne lidelsen (3, 4).

    Vi har nylig oppdaget to nye tilfeller. Den ene pasienten, en 48-årig mann, var innlagt for utredning av presenil demens. Broren til denne pasienten døde i 1984 med et sykdomsbilde forenlig med PLO-SL. I denne artikkelen refererer vi sykehistorien til disse brødrene og omtaler sykdommen nærmere.

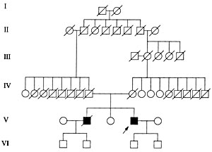
    Pasient 1. 39-årig mann fra Hitra, eldst av tre søsken, der farfar og mormors far hadde samme foreldre (fig 1). Han var utdannet elektriker, gift og hadde to sønner. Fra 15-årsalderen hadde han plager med hodepine. Opp gjennom årene skal det ha vært en del småskader. 13 år gammel fikk han en håndskade med amputasjon av tredje finger og flere ganger ribbeinsbrudd. Han hadde diettregulert diabetes mellitus fra 14 års alder.

    20 år gammel falt han under arbeid 5 – 6 meter ned og pådrog seg brudd i venstre underkjeve, nesebein, begge underarmer, høyre albue, flere ribbein, begge kneskåler, venstre kne og i føttene. Det var ingen øyevitner til ulykken, men man mente han var kortvarig bevisstløs. Han ble operert for sine bruddskader. Røntgenologisk ble det påvist cystiske oppklaringer i radius og ulna på høyre side og i karpalknoklene bilateralt. Etter noen dager ble det tatt cerebral CT, da han virket mentalt forandret. Han var treg, søvnig, konfus og uklar. CT viste utvidede sideventrikler og utvidet tredje ventrikkel samt grovt overflaterelieff. Et ventrikkelkateter for spinalvæskedrenasje ble anlagt og han ble trakeostomert. Han utviklet en forbigående venstresidig facialisparese. Fem uker etter skaden ble han overflyttet til en etterbehandlingsenhet. Våren 1981 hadde han et treningsopphold ved Sunnaas sykehus. Fra høsten samme år var han klient ved Statens attføringsinstitutt i Trondheim med tanke på yrkesmessig attføring. Der fikk man inntrykk av reduksjon av den intellektuelle kapasitet sammenliknet med før ulykken. Det var konsentrasjonsvansker, dårlig hukommelse og ukritisk oppførsel. Oppgaver i tilknytning til hans tidligere jobb som elektriker klarte han i liten grad å utføre korrekt. November 1981 ble han innlagt i nevrologisk avdeling. Man påviste ingen fokalnevrologiske utfall. Med tanke på hydrocephalusutvikling ble det tatt cerebral CT og likvordynamisk undersøkelse. CT-funnene var uendret. Isotopcisternografi viste forsinket resorpsjon av spinalvæsken, men infusjonstest viste normale trykkforhold. Åtte måneder senere viste nevropsykologisk testing en betydelig funksjonsnedsettelse. Hukommelsen ble ansett å være så dårlig at han ble vurdert til å være ufør for ethvert arbeid. Cerebral CT ble kontrollert og var uforandret sammenholdt med tidligere undersøkelser.

    Han mistet interessen for TV og aviser og var delvis inkontinent for urin. Han ble på ny innlagt i nevrologisk avdeling. Plantarrefleksen på venstre side var nå invertert. Ny nevropsykologisk testing viste en tydelig ytterligere reduksjon av de intellektuelle funksjoner. Han hadde mindre initiativ og selvtillit. EEG viste generell abnormitet. Cerebral CT var fremdeles uendret. Det fremkom nå opplysninger om en viss glemsomhet før ulykken og også noe frakturtendens. Røntgenologisk fantes som før multiple cystiske oppklaringer distalt i underarmene og i karpalknoklene. Prøver med henblikk på systemsykdom gav ingen konklusive funn. Man mente at hodeskaden hadde medført en hjernekontusjon og en posttraumatisk encefalopati som hadde progrediert etter ulykken.

    På grunn av sin demens ble han overflyttet til Trøndelag Vanførehjem. Han utviklet epilepsi og det ble startet med Epinat. Pasienten døde 43 år gammel.

    Pasient 2. 48 år gammel mann som ble innlagt på grunn av tidlig debuterende demens. Han var henvist fra lokalsykehus, der det i forbindelse med en crusfraktur som oppstod ved sykkelvelt ble tatt cerebral CT pga. dårlig hukommelse, ataksi og urininkontinens. Denne viste forstørrede ventrikler og kortikal atrofi. Forut for det aktuelle hadde han hatt femurfraktur to ganger, en av disse oppstod i forbindelse med fotballkamp. Den andre, en pertrokantær fraktur, oppstod i forbindelse med fall på isen. Ifølge komparenter hadde pasienten i løpet av 4 – 5 år utviklet økende hukommelsessvikt og svikt i andre kognitive funksjoner, falltendens og urin-/avføringsinkontinens. Han skal ha vist mentale forandringer mellom 36 og 39 års alder i form av lettere aggressivitet og påståelighet. Forut for dette skal han ha vært psykisk upåfallende. Han ble skilt ca. sju år forut for innleggelsen, og var i delvis arbeid til ca. fire år forut for innleggelsen. Ved nevrologisk status forelå en betydelig demens, med en skåre på 24 ved orientering-hukommelse-konsentrasjons-test (5), forenlig med uttalt grad av demens. Videre forelå en uregelmessig håndtremor og mulig invertert plantarrefleks på den ikke-gipsede siden. Oftalmoskopi i mydriasis viste ingen tegn til retinopati. I avdelingen kunne han fremstå som tilsynelatende adekvat, men det forelå en betydelig grad av konfabulering og bortforklaringer med tidvis klisjé- og sjargongpreget tale med høflighetsfraser. For øvrig var han vennlig og tillitsfull.

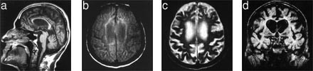
    MR cerebrum viste utvidede ventrikler, grovt overflaterelieff og noe økt signalintensitet periventrikulært (fig 2). Skjelettrøntgen av hender og føtter viste cystiske oppklaringer i en rekke knokler (fig 3). Det var også mulig cystedanning i trochanterregionen og en usikker cystedanning i buen av C1. Det ble for øvrig ikke funnet cyster i aksialskjelett, dvs. cranium, columna, thorax og bekken. Ved histologisk undersøkelse av cystemateriale fra finger fant man et bilde som svarer godt til det som beskrives ved PLO-SL (fig 4). EEG viste abnorm aktivitet frontotemporalt bilateralt. Det var ingen epileptiform aktivitet. ”Brain stem auditory evoked response” (BAER) var unormal på venstre side, med ikke-reproduserbare potensialer ved repetert undersøkelse. Normal ”visual evoked response” (VER) og ”somatosensory evoked response” (SER). I spinalvæsken fant man forhøyet totalprotein, 0,73 g/l. Ved nevropsykologisk testing var det tydelig subnormal generell funksjon, med nedsatt sensorimotorisk funksjon, redusert psykomotorisk tempo, uttalt svekkelse i hukommelsen, særlig for verbalt materiale, og perseverasjonstendens. Resultatene antydet at svekkelsen var relativt størst for funksjoner knyttet til venstre hemisfære. Man konkluderte med at utfallene var forenlige med betydelig grad av demens.

    Pasienten hadde ved innleggelse tresifret senkning (125 mm/t), CRP på 50 mg/l, lett leukocytose (13,4 × 10 9 /l) og anemi (Hb 8,7 g/100 ml). Det ble gjort en omfattende infeksjons- og malignitetsutredning. Man fant en cystitt med oppvekst av staphylococcus aureus i urin. Denne ble behandlet med trimetoprim. ANA var positiv ved innleggelse, med titer på 320 (negative undergrupper), senere kontroll negativ. MCV og MCH var normale. I blodutstryk så man poikilo-/anisocytose og pengerulldanning av erytrocyttene, mens man så 2 – 4% modne plasmaceller i sternalmargsaspirat. Ved urodynamisk undersøkelse fant man detrusorparese. Det ble utført urografi, ultralyd urinveier, lumbal radikulografi og cystoskopi, uten at man fant noen årsak til dette. Det ble også gjort EMG/nevrografi spesielt med tanke på polynevropati, uten at det ble funnet patologiske forhold. Han hadde initialt grumsete urin, og det ble ved en anledning målt 25,3 g protein i døgnurin. Ved neste måling var dette normalisert. Det ble ikke observert hypoalbuminemi, kreatininstigning eller ødemer.

    Blodprøvene var i ferd med å normalisere seg ved utskrivning (SR 34 mm/t, Hb 11,2 g/100 ml, CRP 8 mg/l, leukocytter 10,9 × 10 9 /l). Man konkluderte med at pasienten hadde en infeksjonsutløst anemi.

    Pasienten var innlagt i avdelingen i ca. to måneder og ble deretter utskrevet til sykehjem.

    Diskusjon

    Diskusjon

    I Norge er PLO-SL tidligere kun beskrevet hos to søstre fra et lite øysamfunn utenfor Tromsø. Det var intet kjent slektskap mellom foreldrene. Kasuistikken til den ene av søstrene ble første gang publisert i 1983 (3). I 1998 var denne pasienten og hennes søster med i en studie for genetisk kartlegging av en større skandinavisk populasjon med PLO-SL (4).

    Diagnosen av denne sykdommen med det omstendelige navnet er, slik de aktuelle kasuistikker illustrerer, meget enkel dersom man bare kjenner til tilstanden. Begge brødre hadde karakteristiske røntgenforandringer i skjelettet, og begge utviklet progredierende demenssymptomer. At den ene broren først fikk sin diagnose retrospektivt og at diagnosen ikke ble erkjent hos den andre pasienten da han pådrog seg flere frakturer uten helt adekvat traume, gir grunn til antakelsen at sykdommen kan være underdiagnostisert i Norge. Alle pasienter med demensutvikling før 50 års alder uten umiddelbar erkjennbar årsak bør av den grunn undersøkes med røntgen av hender og/eller føtter. En tidligere sykehistorie med frakturer gir spesiell grunn til mistanke.

    Sykdomsutvikling

    Sykdomsutvikling

    I barndommen er det som regel få eller ingen symptomer. Mellom 20 og 30 års alder utvikler pasientene skjelettsymptomer i form av smerter og hevelse i ankler og/eller håndledd. Gjennomsnittsalder for førstegangsopptreden av frakturer er 29 år (12 – 43 år). Skjelettsymptomene er ofte milde og kan av og til først melde seg etter debut av de nevropsykiatriske symptomer i fjerde dekade. Man får da en snikende utvikling av et sykdomsbilde med prefrontalt pregede demenssymptomer, personlighetsforstyrrelser, tegn på affeksjon av det øvre motornevron, apraktisk-afasiske symptomer og myoklone rykninger. Pasientene dør som regel i 35 – 45-årsalderen, som oftest i forbindelse med kakeksi og pneumoni. Mange får i sluttstadiet epilepsi.

    Det finnes ingen spesifikk behandling.

    Radiologiske funn

    Radiologiske funn

    De radiologiske skjelettforandringene oppstår allerede i barndommen, men oppdages hyppigst i 20 –30 -årsalderen i forbindelse med traumer (6). Lesjonene opptrer som multiple, symmetriske, ikke-ekspansive cyster uten sklerotisk begrensning og med lokalisasjon i de epifysære og metafysære områder av de lange knokler, i patella og i alle hånd- og fotknokler. Talus er hyppigst affisert, ofte med uttalte cystiske lesjoner. De gjenværende trabekler har en longitudinal anordning. Mineraltettheten av beincortex er redusert. Det er hittil ikke funnet tilfeller med affeksjon av de aksiale deler av skjelettet.

    Pasient 2 viste alle disse trekk (fig 3), mens det for pasient 1 kun forelå røntgenbeskrivelse av multiple cyster distalt i underarmene og i håndskjelettet.

    Cerebral CT viser kortikal og sentral atrofi, mest uttalt i frontallappen, og eventuelt cerebellær atrofi (7). Ofte er det kalsifisering eller hyperintensitet i basalgangliene. Cerebral MR med T2-vektede bilder har i tillegg vist nedsatt tetthet i basalgangliene og thalamus samt i periventrikulær hvit substans (8, 9).

    Patologisk-anatomiske og biokjemiske funn

    Patologisk-anatomiske og biokjemiske funn

    Beincystene er fylt med delvis nekrotisk fettvev og inneholder to komponenter:

    • – Cysterom fylt med triglyserider

    • – Eiendommelige 1 – 2 µ m tykke, foldede og ultrastrukturelt karakteristiske, autofluorescerende membraner i dobbelt lag

    Membranene og de laminære strukturer består av karbohydrater, lipider og fosfolipider (10) som omgir fettsyrekrystaller, hydroksyapatittkrystaller og kollagenholdig bindevev.

    I sentralnervesystemet består de makroskopiske anomalier i atrofisk sklerose av hvit substans, mest uttalt i frontal- og temporalregionen. Det er kun beskjeden affeksjon av cortex. Mikroskopisk finnes generalisert demyelinisering, markert fibrillær gliose, aksonal degenerasjon med sferoider og leilighetsvis calcosferitter i basalgangliene.

    Patofysiologi

    Patofysiologi

    Årsaken til de lipomembranøse lesjoner og leukoencefalopatien er fortsatt ukjent. Finske forskere favoriserer en vaskulær genese med hypovaskularisering som fører til progredierende fettnekrose i bein og til demyelinisering og gliose i sentralnervesystemet (1). Basert på observasjon av forandringer i basalmembranen er det foreslått at den viktigste patofysiologiske mekanismen i sentralnervesystemet består i en unormal endotelmetabolisme som resulterer i skade i karveggen, noe som igjen medfører nedbrytning av blod-hjerne-barrieren med påfølgende vasogent hjerneødem og demyelinisering (11). Japanske forskere har mistenkt en hittil uoppdaget defekt i lipidmetabolismen eller patologiske prosesser i lipidmetaboliserende celler (10). Man har også diskutert en endring i metabolismen i membranglykolipider eller glykoproteiner (12).

    Genetiske forhold

    Genetiske forhold

    Sykdommen har en autosomal recessiv arvegang. Man har nylig identifisert sykdomslocus hos alle undersøkte finske familier med PLO-SL og to av tre svenske familier på kromosom 19q13, mens den ene tidligere beskrevne norske familien ikke hadde denne tilknytningen (4). Den høyeste prevalens finnes i Finland, og sykdommen antas å høre til den såkalte finske arvesykdomsgruppen, der omtrent 30 monogene lidelser som er hyppigere i Finland enn i verden for øvrig inngår. Denne sykdomsgruppen har sitt opphav i den spesielle utviklingen av den finske befolkningen – en liten gruppe opprinnelige nybyggere, relativ isolasjon fra naboland og subisolater i fjerne deler av landet. I en rekke tilfeller er det funnet slektskap hos foreldrene, slik også tilfellet var hos våre pasienter. Typisk for de hittil beskrevne norske pasienter er at de i likhet med de fleste finske familier kommer fra geografiske subisolater.

    Det er ikke funnet holdepunkter for finske forfedre hos våre pasienter, en mulighet som er drøftet med henblikk på de beskrevne svenske PLO-SL-familier.

    Vi har hittil ikke fått undersøkt om sykdommen hos våre pasienter er knyttet til PLO-SL-locus på kromosom 19q13. Muligheten for å vise om pasienten har eller ikke har denne markøren ansees imidlertid som liten, da det er stor genetisk heterogenitet og fordi kun en frisk søster er i live. Sannsynligvis må den endelige genetiske kartlegging vente til selve sykdomsgenet er identifisert

    Kommentarer  ( 0 )

    Anbefalte artikler