Gastrointestinale endoskopier av barn

    ()

    sporsmal_grey_rgb
    Abstract

    Magesmerter og andre gastrointestinale symptomer hos barn kan være, men er ikke alltid uttrykk for sykdom i mage-tarm-kanalen. Endoskopi i narkose er ofte indisert ved utredning av barn med langvarige gastrointestinale symptomer.

    Vi har gjort en retrospektiv studie av alle barn £  15 år som er endoskopert ved Sentralsykehuset i Akershus i perioden 1993 – 98. Det ble utført 254 gastroskopier, 123 koloskopier og 43 sigmo-/rektoskopier. Vi har gjennomgått sykehistorie, indikasjoner for endoskopi og endelig diagnose etter undersøkelse av disse barna.

    Vi fant høyere forekomst av ulcerøs kolitt og Crohns sykdom enn i liknende materialer, men fordelingen mellom dem var den samme. Forekomsten av cøliaki i Akershus i femårsperioden er like høy som i den svenske ”epidemien” i 1980-årene. Komplikasjonsraten ved slike invasive undersøkelser er lav (<0,24 % for hele materialet).

    Abstract

    Background

    . Abdominal pain and other gastrointestinal symptoms in children may be, but are not always due to disease. Endoscopy in general anaesthesia may be necessary in children with long-term symptoms from the gastrointestinal tract.

    Material and methods.

    We present a retrospective study of all children under the age of 15 who underwent endoscopy at the Central Hospital in Akershus (SIA) in the period 1993 – 98. 254 gastro-, 123 colono- and 43 sigmoideoscopies were performed. A conclusive diagnosis was made following endoscopy. There were few complications to the endoscopies.

    Results and interpretation.

    Our results indicate a higher incidence of inflammatory bowel disease than in similar studies, but with the same relative rates. Celiac disease occurs at a rate similar to the Swedish epidemic in the 1980s.

    Artikkel

    Diagnostikk og behandling av barn med gastrointestinale tilstander har tradisjonelt hatt en relativt svak posisjon i norsk pediatri. I forbindelse med opprettelse av stilling for pediater med spesielt ansvar for gastroenterologi ved vårt sykehus i 1999 var det ønskelig å få oversikt over virksomhetens omfang. Ansvaret var tidligere delt mellom gastroenterologer ved medisinsk avdeling og pediatere. Vi ønsket å belyse berettigelsen av disse tid- og personellkrevende, invasive og til dels teknisk vanskelige undersøkelsene. Hvilke diagnoser er blitt stilt og i hvilket omfang? Gir dette ny viten om insidens og prevalens av disse tilstandene i Akershus? Er undersøkelsene risikable?

    Vi presenterer en retrospektiv undersøkelse etter gjennomgang av journaler.

    Materiale og metode

    Materiale og metode

    Sentralsykehuset i Akershus yter annenlinjetjenester for om lag 70 000 barn £  15 år. Det er svært få barn fra vårt område som får utført endoskopier ved andre sykehus, og materialet inneholder ingen barn fra andre fylker. Tallene blir dermed å oppfatte som uselekterte og populasjonsbaserte minimumstall.

    I femårsperioden 1993 – 98 ble det til sammen utført 420 endoskopier, fordelt på 351 barn. Alle pasientene er registrert i egen protokoll.

    Barna er i hovedsak undersøkt i full narkose med Olympus GIF 100 og GIF 140, som er videoskoper primært beregnet for voksne.

    Vårt mål var å få oversikt over nytten av de ulike endoskopiundersøkelsene. På denne bakgrunn har vi basert våre analyser på 420 endoskopier og ikke på 351 barn. Noen av barna gjennomgikk både øvre og nedre endoskopi eller en av undersøkelsene flere ganger. Siden de 420 undersøkelsene ikke er innbyrdes uavhengige, kan vi ikke beregne statistisk signifikans i studien (p-verdiene ville bli feil).

    Alle journaldata er registrert i et skjema etter gjennomgang av journalen. All journalgjennomgang og registrering av data er utført av førsteforfatter. Deretter er dataene bearbeidet i samarbeid med statistiker A. Frigessi.

    Resultater

    Resultater

    Resultatene presenteres i hovedsak i figurer og tabeller.

    Alder

    Alder

    Figur 1 viser aldersfordelingen ved endoskopitidspunktet (seks måneder til 15 år). Barnas gjennomsnittsalder på undersøkelsestidspunktet var 7,4 år.

    Endoskopi

    Endoskopi

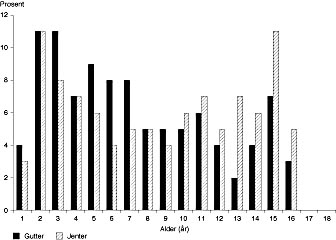
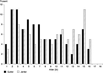
    Figur 2 viser prosentvis aldersfordeling for henholdsvis gastroskopi, sigmoideoskopi og koloskopi.

    Øvre endoskopi var den hyppigste undersøkelsen, og utgjorde 254 av totalt 420 skopier.

    Nedre endoskopier inndeles i sigmoideoskopier og koloskopier. Det ble utført til sammen 166 nedre endoskopier. 43 (26 %) av undersøkelsene var sigmoideoskopier. Man gjorde full koloskopi og nådde coecum ved 123 (74 %) av undersøkelsene. Terminale ileum ble inspisert ved 54 (44 %) av koloskopiene.

    Diagnose etter endoskopi

    Diagnose etter endoskopi

    Tabell 1, 2 og 3 viser sammenhengen mellom symptom som gav indikasjon for undersøkelsen og diagnosen pasienten endte opp med.

    Tabell 1 viser resultater ved blod i avføringen. 72 av de 166 (43 %) nedre endoskopiene ble utført grunnet blod i avføringen, enten påvist makroskopisk eller ved gjentatte positive kjemiske tester (hemofec). 14 barn med kjent inflammatorisk tarmsykdom er ekskludert (8,4 %).

    I tabell 2 vises at 148 (35 %) av alle undersøkelsene ble utført grunnet kronisk diare… i sykehistorien. Med kronisk menes vedvarende løs avføring over tid. Periodisk diare… er ikke tatt med.

    Tabell 3 viser at ved 203 (48 %) av endoskopiene var magesmerter et dominerende symptom. 74 (38 %) gav en gastroenterologisk diagnose til slutt. 32 (19 %) nyoppdagede tilfeller av inflammatorisk tarmsykdom fordelte seg med ti tilfeller av Crohns sykdom og 22 tilfeller av ulcerøs kolitt i femårsperioden.

    Makroskopiske funn

    Makroskopiske funn

    Tabell 4 viser hvilke makroskopiske funn som ble beskrevet ved undersøkelsene.

    Mikroskopiske funn

    Mikroskopiske funn

    Figur 3 viser de histologiske funnene ved nedre endoskopi. Ved 90 (73 %) av totalt 123 koloskopier ble de histologiske snittene beskrevet som normale.

    Cøliaki

    Cøliaki

    Ved øvre endoskopi ble det tatt 117 (46 %) tynntarmsbiopsier med tanke på cøliaki. Hos 80 (71 %) ble diagnosen bekreftet histologisk, 71 av disse var nyoppdagede. Dette gir en insidens på 20/100 000/år i vårt barnemateriale. Av alle henviste til gastroskopi hadde 196 (77 %) tatt prøve for glutenantistoffer. Av disse hadde 117 (60 %) forhøyede verdier. Det ble påvist positiv endomysiumprøve hos 50 av disse. Diagnosen cøliaki kunne bekreftes histologisk hos 47 (94 %) av de 50 barna som hadde positiv endomysiumprøve.

    Vekt og lengde

    Vekt og lengde

    Ved 306 av 420 undersøkelser (73 %) var det oppgitt vekt på barnet. Tilsvarende registrering for lengde var gjort hos 303 barn (72 %). I gruppen av pasienter med nyoppdagede inflammatoriske tarmsykdommer lå tre av ti med Crohns sykdom og bare e…n av 21 med ulcerøs kolitt under 2,5-percentilen for lengde i forhold til alder.

    Diskusjon

    Diskusjon

    Alder

    Alder

    Det er mange faktorer som påvirker tidspunktet for den endoskopiske diagnostikk. Undersøkelsen kommer ofte som den siste i et langvarig diagnostisk arbeid. Våre tall gir inntrykk av synkende antall undersøkelser med stigende alder, med topp ved 2 – 3 års alder. Hos jenter i prepubertal alder sees en økning i antall av alle typer undersøkelser. Noe liknende sees ikke hos gutter. Forskjellen kan skyldes økt hyppighet av uspesifikke magesmerter hos jenter i denne aldersgruppen, kombinert med spiseforstyrrelsenes debut.

    Endoskopier

    Endoskopier

    Øvre endoskopi er en enkel og rask undersøkelse, som gjøres i narkose på ca. 15 minutter. Ved vårt sykehus brukes gastroskopi med tynntarmsbiopsi som rutine for å bekrefte diagnosen cøliaki.

    Nedre endoskopi er mer tidkrevende og kan være teknisk vanskelig hos små barn. Ved mistanke om proktitt eller andre lidelser i distale colon/rectum planlegges utredningen med sigmoideoskopi. Pasienten tømmes som regel med tanke på full koloskopi, slik at undersøkelsen ved behov kan utvides.

    Diagnose etter endoskopi

    Diagnose etter endoskopi

    Selv om endoskopier hos barn foretas etter streng seleksjon, er et flertall av undersøkelsene negative i den forstand at mistanken om spesifikke gastrointestinale sykelige tilstander kan avkreftes.

    I vårt materiale ble det påvist 32 nye tilfeller av inflammatorisk tarmsykdom i en barnepopulasjon på 70 000. Dette gir en insidens for Crohns sykdom på 2,9/100 000 barn/år og for ulcerøs kolitt på 6,3/100 000 barn/år i aldersgruppen 0 – 15 år. Olafsdottir og medarbeidere (1) viste i en undersøkelse fra Vest-Norge en insidens for Crohns sykdom på 2,5/100 000 barn/år og for ulcerøs kolitt på 4,3/100 000 barn/år i årene 1984 og 1985 for tilsvarende aldersgrupper. Dette var høye tall i forhold til det øvrige Europa (2). Våre tall viser det samme innbyrdes forhold mellom Crohns sykdom og ulcerøs kolitt som tidligere skandinaviske materialer, men tallene er noe høyere.

    Det er tidligere vist et inverst forhold mellom spedbarnsdødelighet og forekomst av Crohns sykdom i de vestlige industriland (3). Dette har vært satt i relasjon til redusert infeksjonspress i våre beskyttede omgivelser (spedbarnsdødeligheten i Norge har i perioden 1985 – 95 gått ned fra 8,5 til 4/1 000 levendefødte/år) (4).

    Tabell 1  

    Den endelige diagnosen etter skopi hos barn ved blod i avføringen som et hovedsymptom. Totalt 72 av undersøkelsene var utført på denne indikasjonen

    Antall

    (%)

    Inflammatorisk tarmsykdom

    20

    (28)

    Anale forandringer

     6

     (8,3)

    Proktitt (inflammatorisktarmsykdom er herekskludert)

     2

     (2,7)

    Juvenil polypp

     2

     (2,7)

    Svar av usikker betydning

     1

     (1,4)

    Avkreftet tarmsykdom

    35

    (48,6)

    Annet

     6

     (8,3)

    Tabell 2  

    Den endelige diagnosen etter skopi hos barna med kronisk diaré som hovedsymptom. Totalt 148 undersøkelser var utført på denne indikasjonen

    Antall

    (%)

    Cøliaki

    24

    (16)

    Avkreftet cøliaki

    34

    (23)

    Crohns sykdom

     7

     (4,7)

    Ulcerøs kolitt

    23

    (15,5)

    Avkreftet annen tarmsykdom

    44

    (29,7)

    Annet

    16

    (11,1)

    Tabell 3  

    Den endelige diagnosen etter skopi hos barna med magesmerter som hovedsymptom. Totalt 203 av undersøkelsene var utført på denne indikasjonen. Ved 38 (19 %) av undersøkelsene ble diagnosen uspesifikke magesmerter den endelige

    Antall

    (%)

    Magesmerter

    38

    (19)

    Cøliaki

    38

    (19)

    Inflammatorisk tarmsykdom

    19

    (9,5)

    Irritabel tarm-syndrom

    11

    (5,4)

    Gastritt/duodenitt

     5

    (2,5)

    Annet

    92

    (45)

    Makroskopiske funn

    Makroskopiske funn

    Det er relativt få makroskopiske funn ved undersøkelsene, og hoveddelen av funnene er ukarakteristiske, som rubor og irritert slimhinne. Dette understreker behovet for rutinemessig å ta biopsier til histologisk vurdering. Det er anbefalt biopsier for diagnostikk av øsofagitt hos barn i forbindelse med påvist gastroøsofageal refluks (5). I vårt materiale er det kun unntaksvis tatt oesophagusbiopsier, og det er bare påvist øsofagitt ved fem undersøkelser. Denne praksis er endret i takt med økende oppmerksomhet omkring gastroøsofageal refluks i barnebefolkningen. Alle pasienter som henvises med tanke på operativ behandling av denne tilstanden, gjennomgår nå gastroskopi med biopsier som ledd i utredningen.

    Ulcussykdom ble kun påvist ved én av undersøkelsene. Klinisk mistanke om ulcus hos barn ble altså svært sjelden bekreftet. Det har i perioden forekommet stressulcus i forbindelse med annen svært alvorlig sykdom, men disse barna er av naturlige årsaker ikke blitt endoskopert.

    Helicobacter pylori ble ikke undersøkt systematisk i vårt materiale. Ved 32 av de 254 gastroskopiene ble prøven tatt, og herav var to positive. Helicobacter-prøver tas med økende hyppighet, og det forventes at neste femårsperiode vil gi sikrere svar på betydningen av slike infeksjoner i vår barnepopulasjon.

    Cøliaki

    Cøliaki

    Forekomsten av cøliaki varierer betydelig mellom forskjellige land og mellom forskjellige tidsepoker innen samme land (6). Dette er forklart ved endringer i spedbarnsernæringen i retning av tidlig eksponering for glutenholdig kost og ved endringer i immunologisk status for øvrig. Diagnosetidspunktet varierer også sterkt i forskjellige befolkninger og er forklart med forekomsten av et spektrum av latent og ”stille cøliaki”, som den undersjøiske del av isfjellet der kun klinisk sikkert påvist cøliaki stikker over vannflaten (7, 8).

    I vårt materiale er det påvist 71 nye tilfeller i femårsperioden. Dette gir en insidens i barnebefolkningen på 20/100 000 barn/år, eller en insidens på 3,5/1 000 fødsler. Dette er tall som nesten er på høyde med tall fra den svenske ”epidemien” av cøliaki i 1980-årene, der forekomsten steg fra 1/1 000 til 4/1 000 fødsler i løpet av få år (6). Dette kan imidlertid også være uttrykk for bedring av den serologiske diagnostikk av cøliaki i den aktuelle perioden, som har ført flere pasienter frem til endelig histologiske diagnose.

    Det var tatt glutenantistoffer på alle pasientene som ble undersøkt med tanke på cøliaki. Det var ikke gjort endomysiumprøve hos alle, men cøliaki ble bekreftet histologisk hos 94 % av pasientene med positiv endomysiumtest. Dette harmonerer med andre undersøkelser, som viser sterk korrelasjon mellom positiv endomysiumprøve og cøliaki, men ikke 100 % samsvar (9).

    Tabell 4  

    Makroskopiske funn ved de ulike undersøkelsene

    Funn

    Antall

    (%)

    Øvre endoskopi

    Normale

    203

    (80)

    Øsofagitt

      5

     (1,8)

    Gastritt

     15

     (5,9)

    Duodenitt

     30

    (11,8)

    Ulcus

      1

     (0,4)

    Annet (fremmedlegeme bl.a.)

     17

     (6,6)

    Nedre endoskopi

    Normale

    106

    (64)

    Lettblødende slimhinne

     40

    (24)

    Proktitt

      3

     (1,8)

    Polypp

      4

     (2,4)

    Fissur/hemoroider

     19

    (11,5)

    Ileitt

      4

     (2,4)

    Komplikasjoner

    Komplikasjoner

    Det er beskrevet e…n komplikasjon i materialet. Det var et hematom i tarmveggen etter tynntarmsbiopsi tatt ved gastroskopi. Trombocytter tatt forut for undersøkelsen var normale. Hematomet ble fjernet operativt da pasienten ble innlagt etter to dager med symptomer på høy obstruksjon. Det postoperative forløpet var ukomplisert.

    Total komplikasjonsrate var< 0,24 % for hele materialet. Dette konkurrerer med publiserte tall for liknende studier, der komplikasjonsraten totalt var 1,35 % og behovet for kirurgi oppstod hos 0,42 % av pasientene (10).

    Konklusjon

    Konklusjon

    Endoskopi hos barn er nyttig for å bekrefte en diagnose og minst like viktig for å avkrefte mistanke om alvorlig sykdom. Undersøkelsene blir ofte foretatt langt ut i forløpet av en sykdomstilstand eller som en endelig avsluttende undersøkelse før konklusiv diagnose settes. Vi fant noe høyere forekomst av ulcerøs colitt og Crohns sykdom enn i liknende materialer, men fordelingen mellom dem var den samme. Cøliakiforekomsten i Akershus i femårsperioden er like høy som tall fra den svenske ”epidemien” i 1980-årene. Komplikasjonsraten ved slike invasive undersøkelser er lav.

    Kommentarer  ( 0 )

    Anbefalte artikler