Vannlatingsplager og prostataspesifikt antigen i en norsk normalpopulasjon

    ()

    sporsmal_grey_rgb
    Abstract

    Sentralt i diagnostikken av prostatasykdommer står måling av serumkonsentrasjon av prostataspesifikt antigen (PSA). Kjennskap til hvilke faktorer som normalt påvirker PSA-nivået kan hjelpe til å avgjøre om en forhøyet PSA-verdi skyldes malign eller benign prostatasykdom.

    Vi har undersøkt hvordan PSA-verdier fordeler seg i en norsk normalpopulasjon, og hvordan PSA-nivå samvarierer med grad av vannlatingsplager (International Prostate Symptom Score), alder og prostatavolum. 609 menn deltok i studien.

    87 menn (14 %) hadde PSA referansegrensen på 4,0 µ g/l. Prostatakreft ble påvist hos 14 (16 %) av disse mennene, hvorav halvparten hadde PSA lik eller over 10,0 µ g/l. Sannsynligheten for å ha PSA lik eller over 4,0 µ g/l var 12 ganger så stor for menn med stor prostata som for menn med liten prostata. Gjennomsnittlig PSA-verdi var høyere for menn med mye vannlatingsplager, men det var ikke mulig å forutsi hvilke menn som hadde forhøyet PSA-verdi ut i fra grad av vannlatingsplager. Alderen i seg selv kunne bare i liten grad forklare økende PSA-nivå med økende alder.

    Fravær av vannlatingsplager utelukker ikke forhøyede PSA-verdier og dermed ei heller kreft. Prostatakreft er den vanligste årsak til svært høye PSA-verdier. Lett forhøyede verdier skyldes oftest benign prostatahyperplasi.

    Artikkel

    Bestemmelse av prostataspesifikt antigen (PSA) i serum er sentralt i utredning og diagnostikk av prostatasykdommer. PSA-nivået har i praktisk klinisk medisin vist seg å være organspesifikt, men ikke kreftspesifikt. PSA lik eller over 4,0 µ g/l (referansegrensen) regnes som forhøyet og gir mistanke om prostatakreft, men forhøyet PSA-nivå kan også forekomme ved benign prostatahyperplasi og prostatitt. Prostatakreft er den vanligste kreftform blant menn i Norge, med 2 581 nye tilfeller i 1997 (1). Median alder ved diagnose av prostatakreft er mellom 70 og 74 år (1). Både benign prostatahyperplasi og prostatakreft viser økende prevalens med økende alder. Obduksjoner av menn over 40 år uten kliniske tegn på prostatalidelse viser latent karsinom i prostata hos 32 % (2). Prevalensen av benign prostatahyperplasi er 90 % blant obduserte menn over 80 år (3). Ofte opptrer derfor prostatakreft og benign prostatahyperplasi sammen.

    I hvilken grad vannlatingsplager følger en forhøyet PSA-verdi og hvorvidt alder i seg selv påvirker serumnivået av PSA er uavklart.

    I den foreliggende studien, som er den første som beskriver fordelingen av PSA-verdier i en norsk normalpopulasjon, har vi undersøkt om grad av vannlatingsplager kan forutsi en forhøyet PSA-verdi og dermed økt sannsynlighet for prostatakreft. Videre har vi undersøkt om store benigne prostatakjertler gir forhøyede PSA-verdier og dermed påvirker hvordan man skal tolke en forhøyet verdi. Vi har også undersøkt hvorvidt alder selvstendig kan forklare økende PSA-nivå med økende alder.

    Materiale og metode

    Materiale og metode

    Alle menn mellom 55 og 69 år fra kommunene Levanger og Verdal ble invitert til å delta i studien. Av 850 menn som ble invitert, ønsket 639 (76 %) å delta. 28 av de 639 mennene som deltok i studien ble ekskludert på grunn av tidligere eller nåværende diagnostisert prostatakreft eller fordi det tidligere var utført kirurgiske inngrep på prostata. Av de resterende 611 ble én ekskludert på grunn av manglende PSA-måling. En mann hadde en PSA-verdi på 80,4 µ g/l, og ble ved rektal palpasjon av prostata vurdert til å ha benign prostatahyperplasi. PSA-verdien er imidlertid så høy at vi vurderte det som overveiende sannsynlig at vedkommende hadde udiagnostisert prostatakreft, og han ble derfor ekskludert. 609 menn inngår i analysene. Undersøkelsen ble utført i 1996, som ledd i Helseundersøkelsen i Nord-Trøndelag (HUNT), og var godkjent av regional komité for medisinsk forskningsetikk i daværende helseregion 4.

    I spørreskjemaet, som alle deltakerne ble bedt om å besvare skriftlig, inngikk sju spørsmål om vannlatingsplager. Disse skulle besvares med tall fra 0 til 5, hvor økende grad av symptomer gir gradvis høyere tall (tab 1). Disse sju spørsmålene er til sammen The International Prostate Symptom Score (IPSS), og summen av de sju svarene angir grad av vannlatingsplager (4). Forfatterne av IPSS angir tre symptomkategorier: en ”mild” kategori (IPSS 0 – 7), en ”moderat” (IPSS 8 – 19) og en kategori med ”uttalte” symptomer (IPSS 20 – 35).

    Tabell 1  

    Spørsmålene som inngår i the International Prostate Symptom Score (IPSS). Hvert spørsmål har seks svaralternativer som beskriver pasientens grad (0 – 5) av besvær. Summen av alle sju svarene utgjør IPSS-verdi (0 – 35)

    1.  Hvor ofte har du hatt følelsen av at blæren ikke er blitt fullstendig tømt etter avsluttet vannlating?

    2.  Hvor ofte har du måttet late vannet på nytt mindre enn to timer etter forrige vannlating?

    3.  Hvor ofte har du måttet stoppe og starte flere ganger mens du lot vannet?

    4.  Hvor ofte synes du det har vært vanskelig å utsette vannlatingen?

    5. Hvor ofte har du hatt svak urinstråle?

    6.  Hvor ofte har du måttet trykke eller presse for å begynne å late vannet?

    7.  Hvor mange ganger har du vanligvis måttet stå opp i løpet av natten for å late vannet?

    Serum-PSA ble målt hos alle deltakere. Den urologiske undersøkelsen ble utført av to urologer, og inkluderte blant annet måling av prostatavolum med rektal ultralyd, som omtales i denne artikkelen. Dette ble utført med en Siemens SI 250-maskin, hvor en 7 MHz ultralydprobe ble benyttet. Høyde, bredde og lengde av prostata ble målt, og prostatavolum ble beregnet etter formelen lengde ⋅ bredde ⋅ høyde ⋅ 3,14/6. Ingen av mennene ble evaluert med rektal ultralyd av begge urologer, men fordelingen av prostatavolummålinger utført av de to viste seg å være sammenliknbare.

    Datamaterialet ble analysert med the Statistical Package for the Social Sciences (SPSS) versjon 9.0. Vi brukte, foruten deskriptive analyser, Pearsons khikvadrat som mål på trend, for å se hvordan variablene IPSS-verdi, prostatavolum og alder er assosiert til PSA-nivå. For disse analysene ble IPSS-verdi, prostatavolum og alder delt inn i grupper, og forskjellen i PSA-verdier mellom gruppene ble analysert (tab 2). IPSS-verdi ble gruppert i milde, moderate og uttalte vannlatingsplager. Mennene ble gruppert i tre kategorier for prostatavolum: liten (<20 cm 3 ), moderat forstørret (20 – 39 cm 3 ) og svært forstørret prostata ( 40 cm 3 ). Alder ble delt inn i tre grupper: 55 – 59 år, 60 – 64 år og 65 – 70.

    Tabell 2  

    Gjennomsnitts- og medianverdi av prostataspesifikt antigen i serum hos menn gruppert etter grad av vannlatingsplager (International Prostate Symptom Score), prostatavolum og alder

    PSA-verdi ( µ g/l)

    Antall

    Gjennomsnitt

    Median

    P-verdi (khikvadrat for trend)

    Vannlatingsplager

    (IPSS-verdi)

    Milde (0 – 7)

    429

    2,0

    1,1

    Moderate (8 – 19)

    143

    2,7

    1,7

    p = 0,04

    Uttalte (20 – 35)

     30

    2,8

    2,3

    Prostatavolum

    Liten (0 – 19 cm 3 )

     70

    1,0

    0,7

    Normal (20 – 39 cm 3 )

    405

    1,8

    1,1

    p< 0,01

    Stor ( 40 cm 3 )

    133

    3,9

    2,7

    Alder

    55 – 59 år

    190

    1,5

    0,9

    60 – 64 år

    198

    2,3

    1,4

    p = 0,37

    65 – 70 år

    221

    2,7

    1,6

    Binær logistisk regresjonsanalyse ble brukt for å gi svar på om IPSS-verdi eller prostatavolum kan forutsi sannsynligheten for å ha en forhøyet PSA-verdi. Multippel lineær regresjonsanalyse ble brukt for å gi svar på om alder er en selvstendig faktor for økt PSA-nivå. Denne analysen ble utført på logtransformerte variabler der disse var naturlig skjevfordelt.

    Resultater

    Resultater

    87 (14 %) av de 609 mennene som inngår i analysene, hadde PSA lik eller over 4,0 µ g/l (referansegrensen). Av disse 87 hadde 13 menn (15 %) PSA 10,0 µ g/l, og sju menn i denne gruppen fikk histologisk verifisert prostatakreft. 48 menn, alle med PSA 4,0 µ g/l, fikk utført prostatabiopsi. Den histopatologiske diagnosen var benign hos 24 menn, ti hadde irregulær kjertelproliferajon, mens 14 fikk påvist prostatakreft.

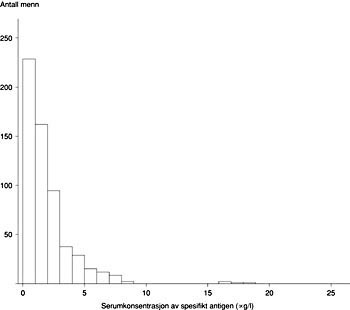
    Fordelingen av PSA-verdier viste en klar opphopning av lave verdier med medianverdi på 1,3 µ g/l (fig 1). Gjennomsnittlig PSA-verdi var 2,2 µ g/l.

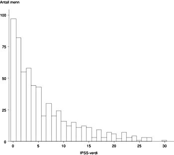
    173 menn (29 %) hadde en IPSS-verdi   8, som angir vannlatingsplager av moderat til alvorlig grad. Frekvensfordelingen av IPSS-verdier (fig 2) viser en opphopning av lave verdier med medianverdi på 4, og gradvis synkende antall menn med økende verdier. Gjennomsnittlig IPSS-verdi var 5,8.

    Vi fant en svak statistisk signifikant assosiasjon mellom PSA-verdier og IPSS-verdier (p = 0,04), og en sterk assosiasjon mellom PSA-verdier og prostatavolum (p< 0,01) (tab 2). Alder og PSA-verdier viste ikke signifikant assosiasjon (tab 2). Når PSA-verdien likevel øker med økende alder, er det interessant å se om denne økningen skyldes alderen i seg selv eller kan tilskrives økende prostatavolum med økende alder. Multippel lineær regresjonsanalyse, hvor prostatavolum og alder ble trinnvis introdusert i analysen, ble utført for å gi svar på dette. Alder kan bare forklare 2 % av variasjonen i PSA-verdier uavhengig av prostatavolum.

    Ved å gruppere PSA-verdiene i to kategorier: PSA< 4,0 µ g/l og PSA 4,0 µ g/l, altså normale og forhøyede PSA-verdier, og prostatavolum i liten, moderat forstørret og stor prostata, viste binær logistisk regresjon at sannsynligheten for å ha en forhøyet PSA-verdi er 12,1 ganger så stor for menn med stor prostata ( 40 cm 3 ) som for menn med liten prostata (<20 cm 3 ), p< 0,05.

    Det er diagnostisk viktig å vite om moderate til uttalte vannlatingsplager opptrer samtidig med forhøyede PSA-verdier, som igjen er assosiert med prostatakreft. For å finne ut av dette brukte vi igjen binær logistisk regresjonsanalyse. Ved sterk sammenheng mellom grad av vannlatingsplager og forekomsten av forhøyede PSA-verdier ville man forvente at forhøyede verdier ofte opptrer ved uttalte plager og sjelden opptrer ved fravær av plager. Sammenhengen var verken klinisk eller statistisk signifikant og gir derfor ikke holdepunkter for en slik antakelse.

    Diskusjon

    Diskusjon

    Det var relativt stor oppslutning blant de mennene som ble invitert til å delta i studien (76 %), og vi mener det derfor er stor sannsynlighet for at utvalget er representativt for en norsk normalpopulasjon. Ettersom vi studerer sammenhenger mellom variabler innenfor utvalget, har utvalgsskjevhet trolig mindre betydning.

    IPSS er en standardisert test på symptomer fra urinveiene. Dette gjør det mulig å sammenlikne resultater fra flere populasjonsbaserte studier med tanke på vannlatningsplager. Ifølge Jacobsen og medarbeidere oppsøker de fleste menn lege først når vannlatingsplagene er av moderat til alvorlig grad (IPSS verdi 8), og flertallet av disse mennene får påvist forstørret prostata (5). I vår studie hadde 29 % av deltakerne en IPSS-verdi 8. For menn i alderen 40 – 79 år er prevalensen av moderate til alvorlige vannlatingsplager rapportert til 14 % i en fransk studie, til 18 % i en skotsk studie, til 46 % i en japansk studie og til 38 % i en studie fra USA (6). I en spansk studie av 1 106 menn over 40 år fant man at 25 % hadde en IPSS-verdi 8 (7). Gjennomsnittlig prevalens av moderate til alvorlige vannlatingsplager i disse seks studiene er 28 %. I tillegg til faktiske forskjeller i prevalens i de ulike land kan variasjonen skyldes forskjeller i subjektiv oppfatning av vannlatingsplager og forskjeller mellom ulike oversettelser av IPSS-skjemaet.

    Vår studie viser gjennomsnittlig høyere PSA-verdier for menn med IPSS-verdi 8 enn for menn med verdier< 8. Denne tendensen understøttes med statistisk signifikans ved trend. Binær logistisk regresjonsanalyse viser likevel ikke tilstrekkelig sammenheng mellom grad av vannlatingsplager og forekomst av forhøyede PSA-verdier til at dette kan brukes diagnostisk. Det er dermed ikke hensiktsmessig praksis å utelukke forhøyede PSA-verdier ved fravær av vannlatingsplager, og man kan heller ikke utelukke kreft. Prostatakreft er histologisk lokalisert til den perifere sonen i prostata. Denne sonen ligger ikke i kontakt med uretra, men vender ut mot rectum. Vannlatingsplager ved lokalisert prostatakreft vil skyldes obstruksjon av uretra, men vil ofte ikke inntreffe før svulsten er blitt relativt stor, med økt risiko for at kreften allerede har spredt seg. Kun lokalisert prostatakreft er i praksis kurabel. Funn av en hard knute i prostata ved digital rektal palpasjon skal alltid vekke mistanke om kreft.

    Flere studier har rapportert at PSA-nivået øker med alderen (5, 8). Vår studie viser en statistisk signifikant assosiasjon mellom prostatavolum og PSA-verdi, men ingen signifikant assosiasjon mellom alder og PSA-verdi. McNeal fant at for menn under 70 år kunne mesteparten av volumøkningen i prostata med alder tilskrives en diffus volumøkning i overgangssonen, som er den delen av prostata som ligger tettest inntil uretra (9). Obduksjoner av menn uten histologisk påvist benign prostatahyperplasi viste kun en liten aldersrelatert økning i prostatavolum (3). Derimot ble det rapportert økende volum av prostata med økende alder hos menn med påvist benign prostatahyperplasi. Økningen i PSA-verdi med alderen synes derfor å kunne tilskrives tilsvarende økende prevalens av benign prostatahyperplasi. Vår studie viser at alder bare i liten grad påvirker PSA-verdier uavhengig av prostatavolum. Aldersspesifikke referanseverdier for PSA benyttes i stor utstrekning i Norge i dag. Disse ble fremsatt av Oesterling og medarbeidere etter at de fant en sterk korrelasjon mellom PSA-nivå og alder hos amerikanske menn mellom 45 og 80 år (10). Siden vår studie omfatter menn mellom 55 og 69 år, taler ikke våre resultater nødvendigvis imot innføring av aldersspesifikke referanseverdier for PSA, men de har liten gyldighet for den populasjonen vi har undersøkt.

    Vår studie viser at sannsynligheten for å ha en forhøyet PSA-verdi er 12 ganger så stor hos menn med prostatavolum 40 cm 3 som hos menn som ikke har forstørret prostata, og dette samsvarer med resultatene til Benson og medarbeidere (8). Sannsynligheten for å ha prostatakreft vil være økt dersom man har en liten prostata og samtidig forhøyet PSA-verdi. Imidlertid er det kun prostatabiopsi som sikkert vil kunne avklare kreftmistanken. Bare én av fire menn med PSA-verdier mellom 4,0 og 10,0 µ g/l vil ha prostatakreft (11). Både prevalensen av prostatakreft og benign prostatahyperplasi øker med økende alder, og det vil følgelig ikke være uvanlig at begge opptrer samtidig, særlig i de eldste årsklassene. PSA 10,0 µ g/l skal umiddelbart vekke mistanke om kreft, selv ved stort prostatavolum.

    I vår studie hadde 13 menn (2 %) PSA 10,0 µ g/l, og sju av disse hadde prostatakreft. Bosch og medarbeidere viste i sin studie av 1 186 menn at 30 (3 %) hadde PSA 10,0 µ g/l. 17 av disse 30 mennene hadde prostatakreft (12). Hos menn med svært høye PSA-verdier vil prostatakreft være den vanligste årsak.

    Konklusjon

    Konklusjon

    Hos menn med PSA 10,0 µ g/l vil prostatakreft være den vanligste årsaken. Vår studie viser at PSA-verdien også påvirkes av prostatavolumet. En lett forhøyet PSA-verdi vil derfor oftere være uttrykk for kreft hos menn med liten prostata enn hos menn med stor prostata.

    Grad av vannlatingsplager kan ikke forutsi forhøyede PSA-verdier i serum, og dermed heller ikke kreft, men verdiene vil i gjennomsnitt være høyere ved tilstedeværelse av vannlatingsplager.

    Denne undersøkelsen er økonomisk støttet av MSD (Norge) AS. Vi takker Kristian Bjerve for datakyndig hjelp.

    Kommentarer  ( 0 )

    Anbefalte artikler