Basert på artikkel publisert i Anticancer Research (9)
Non-Hodgkins lymfom er ei heterogen gruppe av lymfoproliferative lidingar der manifestasjonsform og respons på behandling varierer (1). I Noreg får 600 – 700 pasientar diagnosen kvart år (2). Av alle nye krefttilfelle i 1997 utgjorde non-Hodgkins lymfom 3,2 % (2). Non-Hodgkins lymfom blir no inndelt i undergrupper i samsvar med Real-klassifiksajonen (3). I denne artikkelen er den tidlegare Kiel-klassifikasjonen med inndeling i høggradige (HG-NHL) og låggradige (LG-NHL) former på grunnlag av histologiske karakteristika brukt. Dei høggradige formene ser ein hyppigast hos unge og eldre, medan dei låggradige er mest vanleg hos vaksne. Førekomsten av LG-NHL aukar med stigande alder. Denne kreftforma er oftast disseminert ved diagnosetidspunktet, og vert då sett på som ein kronisk sjukdom med eit ofte langvarig, men fatalt forløp (4). Optimal behandling av pasientar med LG-NHL er ei medisinsk utfordring som krev kunnskap innan feltet og godt klinisk skjønn. Tiltaksspekteret spenner frå inga behandling til toksisk kjemoterapi med ein kombinasjon av fleire cellegifter. Det er viktig å identifisere pasientane som har lokalisert sjukdom sidan behandlingsmålet hos desse er tilfriskning (5 – 7). Sidan intensiv behandling med cellegift ikkje betrar prognosen hos pasientar med avansert sjukdom (8), har symptomfrie pasientar blitt følgt klinisk utan nokon form for behandling så lenge organfunksjonen ikkje har vore truga (9, 10, 11).
For HG-NHL er det utvikla ein Internasjonal Prognostisk Indeks som hjelp til styring av terapi. Fleire forfattarar har tilrådd bruk av prognostiske indeksar også for LG-NHL (11, 12). Dei fleste studiar av behandlingsrespons og prognostiske faktorar for LG-NHL gjeld pasientar med follikulære lymfom (12 – 14), som er den mest vanlege histologiske typen av LG-NHL.
Føremålet med denne studien var å undersøke behandlingsrespons, overleving og moglege prognostiske faktorar hos pasientar som har vore behandla for LG-NHL ved Kreftavdelingen, Regionsjukehuset i Tromsø i perioden 1986 – 96. Vidare ville vi undersøke om ulike histologiske, kliniske og biokjemiske parametrar ved diagnosetidspunktet er av prognostisk verd for sjukdomsforløpet.
Materiale og metode
Pasientar
Studien er basert på ein retrospektiv gjennomgang av alle pasientar diagnostisert eller behandla for LG-NHL i perioden 1986 til 1996 ved Regionsykehuset i Tromsø. Av 169 pasientar vart 38 pasientar ekskludert av følgjande årsaker:
– Kronisk lymfatisk leukemi og/eller annan malign sjukdom forut for eller i forløpet av kreftsjukdommen (n = 17), med unntak av carcinoma in situ og basaliom
– Diskordant lymfom (både låggradig og høggradig komponent på diagnosetidspunktet) (n = 6)
– Transformasjon til høggradig malignt lymfom (n = 13)
– Ikkje tilgang til journal (n = 1)
– Spontan remisjon (n = 1).
Av dei resterande 131 pasientane var 64 kvinner (49 %) og 67 menn (51 %), og median alder på diagnosetidspunktet var 60 år. 25 % av pasientane var yngre enn 50 år, og 25 % var eldre enn 70 år. 13 pasientar (9,9 %) var diagnostiserte før etablering av Onkologisk avdeling ved Regionsjukehuset i Tromsø i 1985. Desse pasientane hadde fått primærbehandling ved andre sjukehus, i hovudsak Det Norske Radiumhospital. Behandling av LG-NHL var relativt uendra i løpet av registreringsperioden.
Tabell 1 viser behandling som er gitt i høve til klinisk stadium. I all hovudsak vart stadium 1-pasientar og stadium 2-pasientar med få involverte lokalisasjonar strålebehandla til totaldose 40 – 41,4 Gy. Pasientar med utbreidd sjukdom (stadium 2 – 4) vart behandla med cellegift eller observert utan behandling (symptomfrie) til debut av symptom eller til organfunksjonen vart truga. Standard cellegiftbehandling ved avansert sjukdom var følgjande perorale regime: leukeran/prednisolon som førstelinjebehandling, trofosfamid (Ixoten) som andrelinjebehandling. Intravenøs behandling med cellegifter (CHOP) vart initialt nytta ved til dømes truga organfunksjon der rask effekt var viktig.
Tabell 1
Behandling i forhold til klinisk sjukdomsstadium ved låggradig non-Hodgkins lymfom (n = 131)
| Stadium |
|||||
| Behandling |
1 |
2 |
3 |
4 |
Totalt |
| Strålebehandling aleine |
27 |
2 |
0 |
0 |
29 |
| Stråle- og kjemoterapi |
5 |
8 |
6 |
3 |
22 |
| Kjemoterapi aleine |
3 |
7 |
18 |
43 |
71 |
| Observasjon |
5 |
2 |
1 |
1 |
9 |
| Totalt |
40 |
19 |
25 |
47 |
131 |
Metode
Våre data er basert på Regionsjukehuset i Tromsø sine journalar samt journalopplysningar og epikriser frå andre sjukehus. Siste registreringsdato var 31.12. 1996. Følgjande parametrar vart registrerte: kjønn, alder, klinisk stadium, generelle symptom, beinmargsaffeksjon, ekstranodal affeksjon, funksjonsnivå (ECOG-status), største tumordiameter, histologi og biokjemiske parametrar (hemoglobin, laktatdehydrogenase, senking og serum-albumin). Alle parametrar før start av behandling. Vi undersøkte om desse parametrane hadde prognostisk verdi med omsyn til residivfri overleving, totaloverleving og sjukdomsspesifikk overleving. Overlevingsdata er baserte på registrering av komplett remisjon, residiv, dødsdato og dødsårsak.
Stadieinndeling er gjort i samsvar med Ann Arbor-klassifikasjonen (15). For pasientar der stadium ikkje eksplisitt er nemnt i journalen, er stadieinndeling gjort retrospektivt på bakgrunn av kliniske og radiologiske opplysningar om sjukdomsutbreiing og resultat av beinmargsbiopsi. Den histologiske klassifikasjonen var i samsvar med Kiel-klassifikasjonen (16) med unntak av MALT-lymfom (mucosa associated lymphoma tissue). Subklassifisering mellom T-celle- og B-cellelymfom vart innført først i 1990, dvs. midt i registreringsperioden. Dette er årsak til det låge talet klassifiserte i desse gruppene. Histologiske karakteristika er vist i tabell 2. Det vart registrert om ekstranodal affeksjon var til stades, men tal lokalisasjonar vart ikkje registrert. Dødsårsak var ukjend for fem pasientar, desse vart klassifiserte som døde av lymfom.
Tabell 2
Histologiske karakteristika (n = 131)
| Tal |
(%) |
|
| Struktur |
||
| Follikulær |
60 |
(86) |
| Diffus |
10 |
(14) |
| Uklassifisert |
61 |
– |
| Type |
||
| Centrocyttisk |
7 |
(7) |
| Centrocyttisk/centroblastisk |
73 |
(70) |
| Lymfocyttisk |
6 |
(6) |
| Plasmocyttisk/plasmocytoid |
3 |
(3) |
| Monocytoid |
1 |
(1) |
| MALT¹ |
7 |
(7) |
| Andre |
8 |
(8) |
| Uklassifisert |
26 |
– |
| Celletype |
||
| T-celle |
7 |
(17) |
| B-celle |
34 |
(83) |
| Uklassifisert |
90 |
– |
| ||
Definisjonar
Ved komplett remisjon er det fråvær av alle teikn og symptom på sjukdom i minimum fire veker basert på klinisk og radiologisk evaluering. Residivfri overleving er perioden frå første komplette remisjon til første residiv, til dødsdato av anna årsak eller siste registreringsdato. Totaloverleving er perioden frå diagnosedato til dødsdato eller siste registreringsdato. B-symptom er til stades når pasienten har eitt eller fleire av følgjande generelle symptom:
– Uforklarleg tap av vekt med meir enn 10 % av kroppsvekt siste seks månader.
– Uforklarleg feber med temperatur over 38 ˚C.
– Uttalt nattesvette.
ECOG-status er eit uttrykk for funksjonsnivå: 0 = normal aktivitet, 1 = Redusert, men er oppegåande og sjølvhjelpt, 2 = Delvis sengeliggjande, men mindre enn 50 % av dagtid, 3 = Sengeliggjande meir enn 50 % av dagtid og 4 = Heilt sengeliggjande og avhengig av pleie.
Statistikk
Statistiske analysar er gjort med statistikkprogrammet SPSS for Windows. Pasientar med ukjend verdi for ein variabel er ekskluderte frå analysen av vedkomande variabel. Overlevingskurver er berekna etter Kaplan-Meier-metoden (17) og skilnader påvist ved logranktest (18). Ved samanlikning av kontinuerlege variablar er det brukt einvegs variansanalyse. Multivariatanalyse er utført i samsvar med Cox’ regresjon (19). Statistisk signifikante variablar (p< 0,05) ved einvegs variansanalyse vart inkluderte i den multivariate analysen. Sannsyn for trinnvis inklusjon og eksklusjon vart sett til 0,05 og 0,10.
Resultat
Histologiske og kliniske karakteristika
Histologiske karakteristika er vist i tabell 2. Vi fann ingen skilnader mellom pasientar med follikulær og diffus struktur med omsyn til hematologiske parametrar, biokjemiske parametrar eller overleving. Derimot varierte einskilde parametrar i forhold til histologisk type. Pasientar med centrocyttisk type hadde signifikant lågare hemoglobinnivå enn pasientar med lymfocyttisk type og lågare verdi for hemoglobin og høgare for laktatdehydrogenase enn pasientar med centrocyttisk/centroblastisk type. Pasientane i gruppa med MALT-lymfom var eldre og hadde lågare hemoglobin- og albuminnivå enn pasientane med centrocyttisk/centroblastisk type og med lymfocyttisk type. Pasientar med T-cellelymfom hadde signifikant lågare nivå av serum-albumin enn B-cellegruppa.
Tabell 3 og 4 viser kliniske og biokjemiske karakteristika. Fordelinga mellom dei ulike stadia på diagnosetidspunktet var 30 % i stadium 1, 15 % i stadium 2, 19 % i stadium 3 og 35 % i stadium 4. Vi fann signifikant lågare nivå av serum-albumin, lågare hemoglobin og høgare senking hos pasientane i stadium 3 og 4 i høve til gruppa med lokalisert sjukdom, dvs. stadium 1 og 2. Pasientar med B-symptom (22 %) hadde signifikant lågare nivå av serum-albumin og hemoglobin, medan laktat-dehydrogenasenivået og senkingsreaksjonen var høgare i høve til gruppa utan B-symptom. Pasientar med beinmargsaffeksjon (27 %) hadde lågare hemoglobinnivå enn gruppa utan. Pasientane med ekstranodal affeksjon (34 %) var signifikant eldre og hadde lågare serum-albuminnivå enn pasientar utan slik affeksjon. Pasientar med ECOG-status 2 – 4 var signifikant eldre på diagnosetidspunktet, og hadde lågare nivå av serum-albumin og hemoglobin enn pasientar med status 0 – 1. Den største tumoren i materialet var 40 cm i diameter, median storleik var 3,5 cm. Vi fann ingen signifikante skilnader i hematologiske og biokjemiske parametrar relatert til tumorstorleik.
Tabell 3
Pasientkarakteristika for 131 pasientar med låggradig non-Hodgkins lymfom ved diagnosetidspunktet, univariat analyse
| Tal |
(%) |
Gjennomsnittleg overleving |
95 % KI |
P-verdi |
|
| Alder |
|||||
| < 65 år |
79 |
(60) |
14,7 |
10,6 – 18,8 |
<0,05 |
| 65 år |
52 |
(40) |
7,4 |
5,7 – 9,0 |
|
| Kjønn |
|||||
| Mann |
67 |
(51) |
14,2 |
10,2 – 18,2 |
0,80 |
| Kvinne |
64 |
(48) |
8,6 |
7,3 – 10,0 |
|
| Stadium |
|||||
| 1 og 2 |
59 |
(45) |
13,8 |
10,4 – 17,2 |
< 0,0007 |
| 3 og 4 |
72 |
(55) |
9,3 |
6,0 – 12,6 |
|
| B-symptom |
|||||
| Ja |
28 |
(21,5) |
4,9 |
3,5 – 6,4 |
0,0003 |
| Nei |
102 |
(78,5) |
14,0 |
10,1 – 17,8 |
|
| Ukjent |
1 |
||||
| Ekstranodal affeksjon |
|||||
| Ja |
44 |
(34) |
6,8 |
5,5 – 8,0 |
0,18 |
| Nei |
86 |
(66) |
13,7 |
9,7 – 17,6 |
|
| Ukjent |
1 |
||||
| Beinmargsaffeksjon |
|||||
| Ja |
35 |
(27) |
9,1 |
4,9 – 13,3 |
0,086 |
| Nei |
93 |
(73) |
11,2 |
8,5 – 13,8 |
|
| Ukjent |
3 |
||||
| ECOG-status |
|||||
| 0, 1 |
111 |
(91,0) |
13,6 |
9,8 – 17,3 |
< 0,0005 |
| 2, 3, 4 |
11 |
(9,0) |
3,9 |
1,5 – 6,3 |
|
| Ukjent |
9 |
||||
| Tumorstorleik (cm) |
|||||
| < 6 |
50 |
(73) |
11,0 |
8,2 – 13,9 |
< 0,03 |
| 6 |
19 |
(27) |
5,9 |
4,0 – 7,9 |
|
| Ukjent |
62 |
Behandlingsrespons og overleving
Observasjonstida i vårt materiale varierte frå fem månader til 27,4 år, med median observasjonstid 4,3 år. Da observasjonstida var over, var 82 (63 %) av pasientane i live. Av 49 døde, døydde 41 av lymfom, ein pga. komplikasjonar relaterte til behandling, to av andre årsaker, og hos fem var dødsårsaka ukjend for oss. Pasientane med ukjend dødsårsak blei klassifiserte som døde av lymfom.
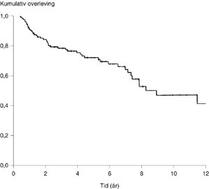
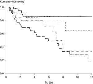
Komplett remisjon vart oppnådd hos 66 % (n = 87), medan partiell remisjon blei funne hos 11 % (n = 14) av pasientane. Av pasientane i stadium 1 oppnådde 90 % komplett remisjon, medan dette var tilfelle hos respektive 68 %, 64 % og 47 % av pasientane i stadium 2, 3 og 4. Median totaloverleving i heile materialet var 8,3 år, medan fem- og tiårs totaloverleving var respektive 72 % og 47 % (fig 1). For gruppa med follikulært lymfom (n = 60) var median totaloverleving 12,5 år, medan fem- og tiårs totaloverleving var respektive 69 % og 52 %. 86 % av pasientane i stadium 1 var i live etter fem år, medan for pasientane i stadium 2, 3 og 4 var respektive 77 %, 79 % og 56 % i live (p< 0,003, fig 2). Tiårs totaloverleving relatert til stadium var respektive 86 %, 65 %, 33 % og 29 %. Det var signifikant betre overleving hos pasientar med god allmenntilstand (ECOG 0 – 1) versus dårleg allmenntilstand (ECOG 2 – 4) (p< 0,0005, tab 3).
Prognostiske faktorar
Resultata av univariate analysar er vist i tabell 3 og 4. Kjønn, ekstranodal affeksjon, beinmargsaffeksjon og albuminnivå hadde ikkje effekt på totaloverleving. Variablane som hadde signifikant effekt på totaloverleving ved univariat analyse (alder, stadium, B-symptom, funksjonsnivå, tumorstorleik, hemoglobinnivå, serum-laktatdehydrogenasenivå og senking) vart inkluderte i den multivariate analysen. Vi fann at funksjonsnivå, klinisk stadium, tumorstorleik og hemoglobinnivå var uavhengige prognostiske faktorar for totaloverleving (tab 5).
Tabell 4
Laboratorieverdiar for 131 pasienter med låggradig non-Hodgkins lymfom før behandling, univariat analyse
| Tal |
(%) |
Gjennomsnittleg totaloverleving (år) |
95 % KI (år) |
P-verdi |
|
| Hemoglobin |
|||||
| Anemi |
29 |
(23) |
5,5 |
3,6 – 7,4 |
< 0,002 |
| Ikkje-anemi |
96 |
(77) |
11,2 |
8,8 – 13,6 |
– |
| Ukjent |
6 |
– |
– |
– |
– |
| Serum-LD (U/l) |
|||||
| £ 540 |
101 |
(89) |
9,0 |
7,6 – 10,5 |
< 0,02 |
| > 540 |
12 |
(11) |
4,1 |
2,3 – 5,9 |
– |
| Ukjent |
17 |
– |
– |
– |
– |
| Senking (mm) |
|||||
| £ 20 |
79 |
(66) |
14,2 |
9,8 – 18,6 |
< 0,02 |
| > 20 |
41 |
(34) |
7,1 |
5,4 – 8,8 |
– |
| Ukjent |
11 |
– |
– |
– |
– |
| Serum-albumin |
|||||
| < 35 g/l |
22 |
(22) |
6,4 |
3,5 – 9,2 |
0,091 |
| 35 g/l |
80 |
(78) |
8,5 |
7,3 – 9,8 |
– |
| Ukjent |
29 |
– |
– |
– |
– |
Tabell 5
Prognostiske parametrar ved multivariat analyse (Cox)
| 95 % KI |
||||
| Kovariat |
Relativ risiko |
Nedre |
Øvre |
P-verdi |
| ECOG¹-status (0 – 1 versus 2 – 4) |
2,6404 |
1,1304 |
6,1676 |
< 0,03 |
| Stadium (1, 2 versus 3, 4) |
2,2541 |
1,0785 |
4,7110 |
< 0,04 |
| Tumorstorleik ( 6 versus< 6 cm) |
2,4163 |
1,0464 |
5,5795 |
< 0,04 |
| Hemoglobin (anemi versus ikkje-anemi) |
2,0668 |
1,0169 |
4,2004 |
< 0,05 |
| ||||
Diskusjon
Av alle pasientar med non-Hodgkins lymfom som vart registrerte i Nord-Noreg i registreringsperioden, hadde 65 % LG-NHL (Å. Næss, Kreftregisteret, personleg meddeling). Av desse vart ca. 50 % diagnostiserte og/eller behandla ved Regionsjukehuset i Tromsø. Alle pasientar med lokalisert sjukdom (stadium 1 og 2) som var kandidatar for strålebehandling, vart sende til Regionsjukehuset i Tromsø, medan pasientar i stadium 3 og 4 i større grad blei behandla på lokal-/sentralsjukehus.
Våre data viser at vi har lågare prevalens av beinmargsinfiltrasjon (27 % vs 45 – 58 %) samanlikna med tidligare studiar (4, 6, 14, 20, 21). Hos oss var 45 % av pasientane i stadium 1 og 2, medan andre har publisert tal på 26 – 48 % (4, 6, 14, 20, 21). Overrepresentasjon av desse pasientane hos oss skuldast truleg i all hovudsak at strålebehandling i Nord-Noreg berre vert utført ved Regionsjukehuset i Tromsø. Ein kan heller ikkje sjå heilt bort ifrå at einskilde pasientar som i utgangspunktet vert vurderte til å ha lokalisert sjukdom, kan ha hatt disseminert sjukdom. Behandlingssentra som har utført to beinmargsbiopsiar og/eller laparotomi som ledd i utredninga forut for behandlingsstart, har funne ein større del pasientar i kategorien med utbreidd sjukdom (5, 22). I samband med stadieinndeling vert det tatt berre ein beinmargsbiopsi ved Regionsjukehuset i Tromsø. Vi meiner det ikkje er sterke grunnar for å endre rutine når det gjeld utgreiing av denne pasientgruppa på bakgrunn av gode data med omsyn til overleving i vår studie, samt at det heller ikkje eksisterer systemisk behandling som kan gjere pasientar med utbreidd sjukdom av typen LG-NHL friske. Parametrar som median alder, funksjonsnivå og førekomst av B- symptom var samsvarande med resultat frå andre studiar (4, 13, 21, 23).
Studien vår viste at komplett remisjon vart oppnådd hos 66 % av pasientane. Andre studiar har vist komplett remisjonsrater på 41 – 88 % (14, 24 – 26). Det blir hevda at komplett remisjon ikkje er eit godt endepunkt ved follikulære LG-NHL på bakgrunn av problem med evaluering av beinmargsinfiltrasjon og abdominal affeksjon (11). Sjukdomsfri overleving og total overleving er truleg betre endepunkt (11).
Median totaloverleving i vårt materiale på 8,3 år, og fem- og tiårs overleving på respektive 72 % og 47 %, samsvarar med data som er publiserte tidlegare (24). I eit spansk materiale på 125 pasientar med LG-NHL (24) var fem- og tiårs totaloverleving 68 % og 50 %, og median overleving 9,7 år. 19 % hadde sjukdom i stadium 1 og 2, medan dei follikulære lymfoma utgjorde 86 % i denne studien (24). Det er problem med å samanlikne ulike studiar fordi LG-NHL histologisk sett er ei svært heterogen gruppe der også ulike histologiske klassifikasjonssystem vert nytta. Dei fleste studiar tar for seg follikulære lymfom, som er den største undergruppa av LG-NHL (6, 11, 12, 27). Pasientar med follikulære lymfom har median total overleving mellom fem og ni år (8, 26) og har difor betre prognose enn pasientar med andre undergrupper av LG-NHL. Til dømes er median total overleving ved centrocyttiske lymfom og mantelcellelymfom tre år og ved centrocyttiske/centroblastiske lymfom fem til åtte år (8). Data med omsyn til overleving vil difor bli betre i studiar som omhandlar berre follikulære lymfom enn i studiar som inkluderer centrocyttiske lymfom og mantelcellelymfom. Det var 60 pasientar med follikulært lymfom i vår studie. Fem- og tiårs totaloverleving var respektive 69 % og 52 % for denne gruppa samla. Dette er i samsvar med andre publiserte data (23, 25).
Det er publisert ein uselektert svensk studie som omfattar 162 pasientar med LG-NHL som vart diagnostiserte i perioden 1978 – 82 (28). Tiårs sjukdomsspesifikk overleving var 79 % for stadium 1 og 26 % for stadium 2, 3 og 4. I vår studie var totaloverleving etter ti år 86 % for stadium 1 pasientar, 65 % for stadium 2, 33 % for stadium 3 og 29 % for stadium 4. I litteraturen er fem- og tiårs sjukdomsspesifikk overleving oppgitt til 85 – 73 % for stadium 1 og 78 – 67 % for stadium 2 (5, 22, 29 – 32). I vår studie var femårs totaloverleving 86 % for stadium 1 og 77 % for stadium 2. For pasientar i stadium 1 flatna kurva for overleving ut etter tre år, noko som tyder på at pasientar som overlever dei første tre åra har gode livsutsikter. I ein amerikansk studie av pasientar med follikulært lymfom i stadium 1 og 2 fann ein tilsvarande tendens (6). Berre 11 % av pasientar som levde i ti år utan tilbakefall, fekk tilbakefall på eit seinare tidspunkt.
Det er utvikla ein internasjonal prognostisk indeks for HG-NHL (25), og fleire forskarar tilrår også bruk av prognostiske indeksar for LG-NHL på bakgrunn av utvikling av nye behandlingsmetodar (11, 12, 24). I dei fleste prognostiske studiane av LG-NHL er høg alder, høg ECOG-status, utbreidd sjukdom, B-symptom, stort tumorvolum, beinmargsinfiltrasjon og høgt serum-LD-nivå assosiert med reduserte leveutsikter (14, 20, 23, 33 – 36). Ved univariat analyse fann vi at følgjande parametrar var assosierte med redusert overleving i vårt materiale: alder over 65 år, utbreidd sjukdom, B-symptom, redusert funksjonsnivå (høg ECOG-status), tumordiameter over 6 cm, anemi, høgt serum-LD-nivå og høg senking. Ved multivariat analyse, var berre ECOG-status, klinisk stadium, tumorstorleik og anemi uavhengige prognostiske faktorar.
Våre funn er såleis i samsvar med det som er rapportert tidlegare med omsyn til prognostiske parametrar. Studien viser også at resultat av behandling ved LG-NHL ved Regionsjukehuset i Tromsø er på høgde med det som blir rapportert frå andre behandlingssenter internasjonalt.
- 1.
Armitage JO. Treatment of non-Hodgkin’s lymphoma. N Engl J Med 1993; 328: 1023 – 30.
- 2.
www.kreftreg.no (1.12 2000).
- 3.
Harris NL, Jaffe ES, Stein H, Banks PM, Chan JK, Cleary ML et al. A revised European-American classification of lymphoid neoplasms: a proposal from the International Lymphoma Study Group. Blood 1994; 84: 1361.
- 4.
O’Reilly SE, Connors JM. Non-Hodgkin’s lympoma. I: Characterisation and treatment. BMJ 1992; 304: 1682 – 6.
- 5.
Gospodarowicz MK, Bush RS, Brown TC, Chua T. Prognostic factors in nodular lymphomas: a multivariate analysis based on the Princess Margaret Hospital Experience. Int J Radiat Oncol Biol Phys 1984; 10: 489 – 97.
- 6.
Mac Manus MP, Hoppe RT. Is radiotherapy curative for stage I and II low-grade follicular lymphoma? Results of a long-term follow-up study of patients treated at Stanford University. J Clin Oncol 1996; 14: 1282 – 90.
- 7.
Soubeyran P, Eghbali H, Bonishon F, Coindre JM, Richaud P, Hoerni B. Localized follicular lymphomas. Prognosis and survival of stages I and II in a series of 103 patients. Radiother Oncol 1988; 13: 91 – 8.
- 8.
Hiddemann W. Niedrigmaligne Non-Hodgkin-Lymphome – aktueller Stand und Perspektiven der Therapie. Therapeutische Umschau 1996; 53: 123 – 32.
- 9.
Bremnes RM, Vik A, Helbekkmo N. Low-grade non-Hodgkin’s lymphoma in Northern Norway: Treatment, outcome, and prognostic factors. Anticancer Res 1998; 18: 1921 – 30.
- 10.
Bonnadonna G, Jotti GS. Prognostic factors and respons to treatment in non-Hodgkin’s lymphomas. Anticancer Res 1987; 7: 685 – 94.
- 11.
Bastion Y, Coiffier B. Is the international prognostic index for aggressive lymphoma patients useful for follicular lymphoma patients? J Clin Oncol 1994; 12: 1340 – 2.
- 12.
Coiffier B, Bastion Y, Berger F, Felman P, Bryon PA. Prognostic factors in follicular lymphomas. Semin Oncol 1993; 5 (suppl 5): 89 – 95.
- 13.
Gallagher CJ, Gregory WM, Jones AE, Stansfeld AG, Richards MA, Dhaliwal HS. Follicular lymphoma: prognostic factors for response and survival. J Clin Oncol 1986; 4: 1470 – 80.
- 14.
Romaguera JE, Mclaughlin P, North L, Dixon D, Silvermintz KB, Garnsey LA et al. Multivariat analysis of prognostic factors in stage-IV follicular low-grade lyphoma: a risk model. J Clin Oncol 1991; 9: 762 – 9.
- 15.
Carbone PP, Kaplan HS, Musshoff K, Smithers DW, Tubiana M. Report of committee on Hodgkin’s disease staging classification. Cancer Res 1971; 31: 1860 – 1.
- 16.
Gerard-Marchant R, Hamlin I, Lennert K, Rilke F, Stansfeld AG, Van Unnik JAM. Classification of non-Hodgkin’s lymphomas. Lancet 1974; 2: 406–8.
- 17.
Kaplan EI, Meier P. Nonparametric estimation from incomplete observations. J Am Stat Assoc 1958; 53: 457 – 81.
- 18.
Peto R, Pike MC, Armitage P, Breslow NE, Cox DR, Howard SV et al. Design and analysis of randomized clinical trials requiring prolonged observation of each patient II. Analysis and examples. Br J Cancer 1977; 35: 1 – 39.
- 19.
Cox DR. The analysis of binary data. New York: Chapman and Hall, 1970.
- 20.
Soubeyran P, Eghbali H, Bonichon F, Trojani M, Richaud P, Hoerni B. Low-grade follicular lymphomas: analysis of prognosis in a series of 281 patients. Eur J Cancer Clin Oncol 1991; 27: 1606 – 13.
- 21.
D’Amore F, Christensen BE, Thorling K, Pedersen M, Jensen MK, Boesen AM et al. Incidence, presenting features and prognosis of low-grade B-cell non-Hodgkin’s lymphomas. Population-based data from a Danish lymphoma registry. Leuk Lymph 1993; 12: 69 – 77.
- 22.
Lawrence TS, Urba WJ, Steinberg SM, Sundeen JT, Cossman J, Young RC et al. Retrospective analysis of stage I and II indolent lymphomas at the National Cancer Institute. Int J Rad Oncol Biol Phys 1988; 14: 417 – 24.
- 23.
Weisdorf DJ, Anderson JW, Glick JH, Oken MM. Survival after relapse of low-grade non-Hodgkin’s lymphoma: implications for marrow transplantation. J Clin Oncol 1992; 10: 942 – 7.
- 24.
Lopez-Guillermo A, Montserrat E, Bosch F, Terol MJ, Campo E, Rozman C. Applicability of the international index for aggressive lymphomas to patients with low-grade lymphoma. J Clin Oncol 1994; 12: 1343 – 8.
- 25.
Shipp MA, Harrington DP, Andreson JR, Armitage JO, Bonadonna G, Brittinger G et al. A predictive model for aggressive NHL: the international non-Hodgkin’s lymphoma prognostic factors project. N Engl J Med 1993; 329: 987 – 94.
- 26.
Spinolo JA, Cabanillas F, Dixon DO. Therapy of relapsed or refractory low-grade follicular lymphomas: factors associated with complete remission, survival and time to treatment failure. Ann Oncol 1992; 3: 227 – 32.
- 27.
Denham JW, Denham E, Dear KB, Hudson GV. The follicular non-Hodgkin’s lymphomas – I. The possibility of cure. Eur J Cancer 1996: 32A: 470 – 9.
- 28.
Osterman B, Jonsson H, Tavelin B, Lenner P. Non-Hodgkin’s lymphoma in northern Sweden. Prognostic factors and response to treatment. Acta Oncol 1993; 5: 507 – 15.
- 29.
Epelbaum R, Kuten A, Coachman NM, Faraggi D, Ben-Arie Y, Ben-Shahar M et al. Stage I-II low grade non-Hodgkins lymphoma: prognostic factors and treatment results. Strahlenther Onkol 1992; 168: 66 – 72.
- 30.
Gomez GA, Barcos M, Krishnamsetty RM, Panahon AM, Han T, Henderson ES. Treatment of early stage I and II nodular poorly differentiated lymfocytic lymphoma. Am J Clin Oncol 1986; 9: 40 – 4.
- 31.
McLaughlin P, Fuller LM, Velasques WS, Sullivan-Halley JA, Butler JJ, Cabanillas F. Stage I – II follicular lymphoma: treatment results for 76 patients. Cancer 1986; 58: 1596 – 602.
- 32.
Taylor RE, Allan SG, McIntyre MA, Kerr GR, Taylor AJ, Ritchie GL et al. Low grade stage I and II non-Hodgkin’s lymphoma: results of treatment and relapse pattern following therapy. Clin Radiol 1988; 39: 287 – 90.
- 33.
Anderson T, DeVita VT jr., Simon RM, Berard CW, Cancellos GP, Garvin AJ et al. Malignant lymphoma II. Prognostic factors and response to treatment of 473 patients at the National Cancer Institute. Cancer 1982; 50: 2708 – 21.
- 34.
Griffin NR, Howard MR, Quirke P, O’Brien CJ, Child JA, Bird CC. Prognostic indicators in centroblastic-centrocytic lymphoma. J Clin Pathol 1988; 41: 866 – 70.
- 35.
Leonard RCF, Hayward RL, Prescott RJ, Wang JX. The identification of discrete prognostic groups in low grade non-Hodgkin’s lymphoma. Ann Oncol 1991; 2: 655 – 62.
- 36.
Cameron DA, Leonard RCF, Mao JH, Prescott RJ. Identification of prognostic groups in follicular lymphoma. Leuk Lymph 1993; 10: 89 – 99.