Background.
Our aim was to combine several regional studies in order to estimate the prevalence of diabetes in Norway.
Material and methods.
We used data from a nation-wide registration of type 1 diabetes in the age group < 30 years. Data for other age groups were taken from nine regional surveys, of which six were repeated. The average prevalence of known diabetes based on self-administered questionnaires was estimated. Data on previously undiagnosed diabetes were available from two Norwegian studies and from other countries.
Results.
The sex and age standardised prevalence of «known» diabetes (all age groups) was estimated at 2.3 %, increasing with age to approximately 8 % among the 70 to 79-year-olds. The prevalence was 3.4 % among those aged >=30 years. The estimated increase in prevalence of known diabetes over time was 1.4 % per calendar year, with variation between sub-groups. The number of unknown cases may be nearly equal to the number of known cases in the age-groups >=30years, but this is uncertain.
Interpretation.
There are probably about 90 000 to 120 000 people with diagnosed diabetes in Norway. Nearly as many may have undiagnosed diabetes, but this is uncertain. Studies representative of the Norwegian population using the oral glucose tolerance test are needed.
Hovedbudskap
90 000 – 120 000 mennesker i Norge har diagnostisert diabetes
Europeiske studier antyder at like mange kan ha udiagnostisert diabetes
Forekomst av udiagnostisert diabetes i Norge er dårlig kartlagt, og vi anbefaler nye undersøkelser med fastende glukose eller glukosetoleransetest
Diabetes mellitus er en gruppe tilstander med ulike årsaksforhold som karakteriseres ved høy konsentrasjon av glukose i blodet som følge av sviktende insulinsekresjon eller insulinvirkning, eller en kombinasjon av disse to mekanismene (1). Nedsatt insulinfølsomhet i kombinasjon med redusert insulinsekresjon er kjennetegnet ved type 2-diabetes, som er mest utbredt. Type 1-diabetes karakteriseres ved en autoimmun sykdomsprosess der de insulinproduserende betacellene i pancreas ødelegges. En rekke andre undergrupper er definert, og flere vil sannsynligvis bli definert i fremtiden (1). Behandling av diabetes og assosierte komplikasjoner krever en betydelig andel av helsevesenets ressurser.
Forekomsten av både type 1- og type 2-diabetes øker i mange land, inkludert Norge (2, 3), men det er flere problemer forbundet med estimering av nasjonal prevalens. De viktigste er manglende standardisering av prøvetaking og diagnostiske kriterier, utvalg som ikke er landsrepresentative og ufullstendig deltakeroppslutning. Til tross for at det i Norge er gjennomført store helseundersøkelser i de fleste fylker, finnes ikke enkeltundersøkelser som er representative for hele befolkningen. Inntil nylig fantes det ikke data fra Oslo. Det er godt dokumentert at udiagnostisert diabetes er vanlig i andre land. Spørreundersøkelser bør derfor kompletteres med måling av glukosekonsentrasjon i fastende blodprøver. WHO anbefaler at det brukes peroral glukosetoleransetest i epidemiologiske undersøkelser. Med ett unntak har glukosetoleransetest ikke blitt brukt som primær diagnostisk metode i befolkningsbaserte undersøkelser i Norge. Målsettingen med denne artikkelen var å benytte tilgjengelige data fra ulike undersøkelser for å komme frem til et rimelig estimat av diabetesforekomst i Norge.
Materiale og metode
Vi har basert oss på insidensrater fra et landsdekkende diabetesregister for type 1-diabetes for aldersgrupper under 30 år (4, 5). Dette har tilnærmet komplett dekning i hele landet. Insidensrater finnes for aldersgruppen under 15 år for perioden 1973 – 82 og kontinuerlig siden 1989, og for aldersgruppen 15 – 29,9 år for perioden 1978 – 82.
Data for forekomst av kjent diabetes i aldersgruppene over 30 år kommer fra befolkningsbaserte undersøkelser i fylker eller kommuner samt fra en landsdekkende undersøkelse av kvinner, til sammen ni ulike undersøkelser, hvorav seks er gjort to eller flere ganger i samme område. Tabell 1 (e-tab 1) gir en oversikt over undersøkelsene som er med i beregningene.
Tabell 1
Undersøkelser brukt i beregninger av diabetesforekomst i aldersgruppene >= 30 år
| Undersøkelse¹ |
Tidspunkt |
Område |
Aldersgrupper (år) |
Metoder² |
Deltaker-oppslutning (%) |
Antall undersøkt |
Antall med kjent diabetes³ |
Referanse |
| HUNT I |
1984/6 |
Nord-Trøndelag |
20+ |
Spørreskjema + glukose |
90 |
76 885 |
2 242 |
(2) |
| HUNT II |
1995/7 |
Nord-Trøndelag |
20+ |
Spørreskjema |
71 |
65 599 |
2 114 |
(2) |
| Tromsø-undersøkelsen |
1994/5 |
Tromsø kommune |
25 – 99 |
Spørreskjema |
77 |
27 159 |
513 |
(8) |
| Tromsø-undersøkelsen |
2001 |
Tromsø kommune |
30 – 91 |
Spørreskjema |
78 |
8 128 |
339 |
(8) |
| Eigersund-undersøkelsen I |
1992 |
Eigersund kommune |
Alle |
Oppsøking av tilfeller |
100 (?) |
12 495 |
223 |
(9) |
| Eigersund-undersøkelsen II |
1998 |
Eigersund kommune |
Alle |
Oppsøking av tilfeller |
100 (?) |
13 045 |
299 |
|
| Hordaland I |
1992/3 |
Hordaland |
40 – 2, 65 – 7 |
Spørreskjema |
73 |
17 527 |
294 |
(7) |
| Hordaland II (HUSK) |
1997/9 |
Hordaland |
40 – 8, 72 – 4 |
Spørreskjema |
67 |
25 432 |
457 |
(7) |
| Kvinner og kreft |
1991/2 |
Hele Norge |
34 – 49 |
Spørreskjema |
57 |
56 289 |
418 |
(10) |
| Kvinner og kreft |
1996/7 |
Hele Norge |
40 – 74 |
Spørreskjema |
56 |
37 390 |
869 |
(10) |
| Kvinner og kreft |
1998/9 |
Hele Norge |
40 – 59 |
Spørreskjema |
82 |
36 217 |
446 |
(10) |
| SHUS/Oppland III |
1986 |
Oppland |
20 – 69 |
Spørreskjema |
ca. 90 |
34 418 |
449 |
(7) |
| OPPHED |
2001 |
Oppland |
30,40,45,60,75 |
Spørreskjema |
55 |
5 986 |
144 |
(7) |
| OPPHED |
2000/1 |
Hedmark |
30,40,45,60,75 |
Spørreskjema |
57 |
6 248 |
213 |
(7) |
| MoRo |
2000 |
Romsås/Furuset |
30 – 67 |
Spørreskjema + glukose |
48 |
2 950 |
122 |
(11) |
| HUBRO |
2000 |
Oslo |
30,40,45,59 – 60, 75 – 6 |
Spørreskjema |
46 |
18 770 |
589 |
(7) |
| [i] | ||||||||
[i] ¹ HUNT: Helseundersøkelsene i Nord-Trøndelag; HUSK: Helseundersøkelsene i Hordaland; SHUS: Statens helseundersøkelser; OPPHED: Helseundersøkelsene i Oppland og Hedmark; MoRo: Mosjon på Romsås; HUBRO: Helseundersøkelsene i bydeler i Oslo
² I alle helseundersøkelsene ble det målt ikke-fastende glukose, men dette er ikke brukt her unntatt hvis man fulgte opp med fastende prøver eller glukosetoleransetest
³ Fra spørreskjema: Har du diabetes (sukkersyke)? (ja/nei), bortsett fra i Eigersund
Helseundersøkelsene utført av Statens helseundersøkelser (nå Nasjonalt folkehelseinstitutt) i samarbeid med andre institusjoner er beskrevet i et temanummer av tidsskriftet Norsk epidemiologi (6) og på Internett (7, 8). Vi baserte oss primært på spørreskjema, der deltakere ble spurt om de har diabetes (sukkersyke).
I 1992 ble det gjort forsøk på å identifisere alle med diabetes i Eigersund kommune (9). Dette ble repetert i 1998 (S. Skeie, upubliserte data).
Kvinner i utvalgte aldersgrupper i Norge ble invitert til å delta i en undersøkelse av kreft (Kvinner og Kreft) i flere runder i 1990-årene (10). Opplysninger om kjent diabetes ble innhentet med spørreskjema.
Udiagnostisert diabetes
I en understudie av Helseundersøkelsen i Nord-Trøndelag (HUNT I) brukte man peroral glukosetoleransetest for dem som var >= 70 år og bodde i Verdal kommune (2). I undersøkelsen Mosjon på Romsås (MoRo) innkalte man personer med ikke-fastende serum-glukose >= 6,1 mmol/l til å ta fastende blodprøve. Blant dem som møtte til fastende prøve ble nyoppdaget diabetes definert som enten serum-glukose >= 7,0 mmol/l eller Hb A1c > 6,4 %. Hvis noen ikke møtte til fastende prøve, ble verdier >= 11,1 mmol/l i den ikke-fastende prøven definert som diabetes (tre personer) (11). I tillegg baserte vi oss på undersøkelser gjort i 1990-årene i ti andre europeiske land hvor man hadde brukt glukosetoleransetest for å diagnostisere diabetes (12). De utenlandske undersøkelsene dekker primært urbane befolkninger, og er strengt tatt ikke representative for sine respektive land.
Dataanalyse
Prevalensen av kjent diabetes i en gitt kjønns- og aldersgruppe ble beregnet fra antallet som svarte ja på spørsmålet om de har diabetes (sukkersyke) dividert med antallet som har svart på spørsmålet. Gjennomsnittet for alle undersøkelsene bergnes ved å summere teller og nevner over alle undersøkelser. Fordi enkelte undersøkelser bare inkluderte utvalgte aldersgrupper måtte vi bruke spesielle bergninger for disse. En detaljert beskrivelse av dataanalysen vises i e-ramme 1.
Dataanalyse
Fra insidens til prevalens for type 1-diabetes
Fra insidensrater for type 1-diabetes beregnet vi kumulativ insidens inntil hvert hele år i alder ved formelen [1-e-(insidensrate) · alder i år]. Prevalenser i tiårs aldersgrupper ble beregnet som gjennomsnittet av kumulative insidenser for alle enkeltår (antar konstant insidensrate og at dødeligheten i disse aldersgruppene er neglisjerbar).
Intra-/ekstrapolering ved utvalgte aldersgrupper
I helseundersøkelsene av 30-, 40-, 45-, 60- og 75-åringer (Helseundersøkelsene i bydeler i Oslo (HUBRO), Hedmark og Oppland) har vi intra-/ekstrapolert og estimert prevalenser i mellomliggende aldersgrupper ved å anta lineær sammenheng og bruke estimatet for midtpunktet i tiårs aldersgruppene 30 – 39, 40 – 49, 60 – 69 og 70 – 79 år for å skalere disse i forhold til aldersgruppene i de andre undersøkelsene. For Helseundersøkelsene i Hordaland (HUSK) brukte vi denne metoden for aldersgruppene 40 – 49 og 70 – 79 år.
Da disse undersøkelsene (HUSK, HUBRO, Oppland og Hedmark) ble tatt med i beregning av gjennomsnittlig prevalens med konfidensintervall brukte vi antallet fra nærmeste aldersgruppe og justerte antallet tilfeller for å skalere prevalensestimatet til de respektive tiårs aldersgrupper.
Ukjent diabetes som prosent andel av totalprevalens
Gjennomsnittet i hver kjønns- og aldersgruppe ble beregnet med lik vekt til alle undersøkelsene. Totalprevalensen kan regnes ut med formelen: totalprevalens = kjent diabetes/[1-(nyoppdaget som andel av totalprevalens)].
Utregning av prosentvis endring per år i prevalens og vekter basert på varians
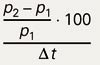
Prosentvis endring per år=
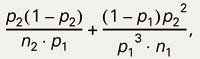
= (= estimati ), der p₁ er andel med diabetes i første undersøkelse, p₂ er andel med diabetes i andre undersøkelse og delta-t er antall år mellom de to undersøkelsene, og i definert undersøkelsessted, alder og kjønn. Vekter til hvert undersøkelsessted utledes fra den inverse av variansen til uttrykket over, wi = 1/Var [estimati ]. For å utlede en formel for variansen er det enklest å ta utgangspunkt i (p₂ – p₁)/p₁, som kan skrives om til (p₂/p₁) – 1. Dette har form som en relativ risiko (konstanten 1 bidrar ikke til variansen). Variansen til p₂/p₁ estimeres ved:
der n₁ og n₂ er totalt antall deltakere i henholdsvis første og andre undersøkelse. I uttrykket for prosentvis endring per år har vi i tillegg multiplisert med 100 og dividert med antall år mellom undersøkelsene (delta-t). Variansen til prosentvis endring per år får vi da ved å multiplisere variansen for p₂/p₁ med 100²/delta-t².
Veid gjennomsnitt av prosentvis endring per år = .
Fra seks repeterte undersøkelser beregnet vi prosentvis endring i prevalens per år i hver kjønns- og aldersgruppe, og gjennomsnittet over alle undersøkelsene. Detaljer er beskrevet i e-ramme 1.
Kun MoRo og HUNT I hadde brukbar informasjon om nyoppdaget diabetes, og vi kombinerte dette med europeiske data (12).
Resultater
Aldersgrupper 0 – 29 år
Selv om insidensraten for type 1-diabetes blant barn har økt noe siden 1970-årene (4), har den vært stabil i 1990-årene (G. Joner, upubliserte data). Basert på tilgjengelige data har vi for enkelthets skyld antatt en gjennomsnittlig insidensrate på 20/100 000 for alle aldersgrupper < 30 de siste 30 år. Estimerte prevalenser i tiårs aldersgrupper vises i tabell 2.
Tabell 2
Estimert prevalens av diabetes i Norge for personer under 30 år
| Aldersgrupper (år) |
Prevalens (%)¹ |
| Kvinner | |
| 0 – 9 |
0,1 |
| 10 – 19 |
0,3 |
| 20 – 29 |
0,5 |
| Menn |
|
| 0 – 9 |
0,1 |
| 10 – 19 |
0,3 |
| 20 – 29 |
0,5 |
| Totalt |
0,3 |
| [i] | |
[i] ¹ Avrundet gjennomsnittstall, beregnet via kumulative insidensrater
Aldersgrupper 30 år og eldre
Ni undersøkelser gjennomført fra 1996 til 2001 bidrog med omtrent 180 000 undersøkte og mer enn 5 000 som svarte at de har diabetes. Prevalens av kjent diabetes i aldersgrupper >= 30 år vises i tabell 3. Kjønns- og aldersjustert prevalens i denne gruppen ble estimert til 3,4 %. For hele befolkningen blir kjønns- og aldersjustert prevalens 2,3 %, svarende til ca. 100 000 personer.
Tabell 3
Prevalens ( %) av kjent diabetes i ni nyere undersøkelser i Norge
| Aldersgrupper (år) |
Eigersund 1998 |
Tromsø 2001 |
HUNT¹ 1995/7 |
Kvinner og kreft 1996/9² |
HUSK3, 4 1997/9 |
Oppland⁴ 2001 |
Hedmark⁴ 2000/1 |
HUBRO4, 5 2000 |
MoRo⁶ 2000 |
Gjennomsnittlig diabetesprevalens (%)⁷ og 95 % KI |
| Kvinner |
||||||||||
| 30 – 39 |
0,4 |
– |
0,7 |
– |
– |
0,2 |
0,6 |
1,0 |
1,5 |
0,7 (0,6 – 0,9) |
| 40 – 49 |
1,0 |
1,1 |
1,0 |
1,0 |
1,0 |
1,7 |
1,6 |
2,0 |
4,0 |
1,1 (1,0 – 1,2) |
| 50 – 59 |
2,4 |
2,0 |
2,1 |
1,8 |
– |
– |
- |
– |
4,2 |
1,9 (1,8 – 2,0) |
| 60 – 69 |
4,3 |
4,2 |
4,2 |
2,2 |
– |
4,8 |
6,6 |
4,1 |
4,9⁸ |
3,2 (3,1 – 3,5) |
| 70 – 79 |
9,6 |
7,3 |
9,1 |
6,3 |
6,6 |
6,3 |
8,6 |
5,1 |
– |
7,6 (7,1 – 8,1) |
| 80+ |
13,1 |
10,6⁹ |
12,4 |
– |
– |
– |
– |
– |
– |
12,4 (11,1 – 13,7) |
| Menn |
||||||||||
| 30 – 39 |
0,5 |
0,4 |
0,7 |
– |
– |
1,0 |
1,0 |
1,1 |
1,5 |
0,8 (0,6 – 1,0) |
| 40 – 49 |
1,6 |
1,8 |
1,3 |
1,4 |
2,2 |
3,3 |
3,0 |
3,0 |
1,8 (1,6 – 1,9) |
|
| 50 – 59 |
3,8 |
3,9 |
3,1 |
– |
– |
– |
– |
– |
7,3 |
3,5 (3,1 – 3,9) |
| 60 – 69 |
6,0 |
4,9 |
5,0 |
– |
– |
4,6 |
7,7 |
6,9 |
9,6⁸ |
5,7 (5,3 – 6,2) |
| 70 – 79 |
10,9 |
7,2 |
8,4 |
– |
7,7 |
5,8 |
9,9 |
8,8 |
– |
8,3 (7,7 – 8,9) |
| 80+ |
13,6 |
13,3⁹ |
11,1 |
– |
– |
– |
– |
– |
– |
11,5 (10,0 – 13,1) |
| Totalt prevalensestimat for menn og kvinner 30 år og eldre, alders- og kjønnsjustert til Norges befolkning 2002: 3,410 | ||||||||||
| [i] | ||||||||||
[i] ¹ Helseundersøkelsene i Nord-Trøndelag
² Der en aldersgruppe var representert i både 1996/7 og 1998/9, brukte vi gjennomsnittet av de to prevalensene. Eldste aldersgruppe var 70 – 74 år
³ Helseundersøkelsene i Hordaland
⁴ Estimater skalert til aldersgrupper basert på lineær intra-/ekstrapolering
⁵ Helseundersøkelsene i bydeler i Oslo
⁶ Mosjon på Romsås
⁷ Summen av alle med diabetes dividert med summen av alle som svarte per kjønns- og aldersgruppe over alle undersøkelser (x100)
8 Mosjon på Romsås (MoRo): 60 – 67 år
⁹ Tromsø: 80 – 89 år
10 Separat for kvinner ble gjennomsnittlig aldersjustert prevalens 3,3 %, og for menn ble den 3,6 %
Undersøkelsene fra Hedmark og Oslo viste høyere prevalenser enn de andre. Variasjonen mellom undersøkelsene var klart statistisk signifikant (etter justering for kjønn og alder). Som ventet økte prevalensen sterkt med økende alder. Kvinner hadde gjennomgående lavere prevalens enn menn, gjennomsnittlig aldersjustert prevalens 3,3 %, sammenliknet med 3,6 % for menn. Kjønnsforskjellene varierte noe mellom aldersgrupper og undersøkelser.
Har prevalensen av kjent diabetes økt i 1990-årene?
Prosentvis endring i prevalens av kjent diabetes per år i aldersgruppene >= 30 år vises i tabell 4. Endringsratene varierte mellom aldersgrupper og undersøkelser. Det ble estimert et kjønns- og aldersjustert gjennomsnitt på 1,4 % årlig økning i prevalens av kjent diabetes. Økningen ser ut til å være sterkest blant menn i aldersgruppen 40 – 60 år.
Tabell 4
Prosentvis endring i diabetesprevalens per kalenderår i ulike aldersgrupper fra repeterte helseundersøkelser
| Alder (år) |
Eigersund 1992 – 8 |
Tromsø 1994/5 – 2001 |
HUNT 1984/6 – 95/7 |
Oppland 1986 – 2001 |
Hordaland 1992/3 – 1997/9 |
Kvinner og kreft 1991/2 – 1996/9 |
Veid gjennomsnitt¹ |
| Kvinner |
|||||||
| 30 – 39 |
–8,3 |
– |
5,7 |
– 4,3 |
– |
– |
–3,7 |
| 40 – 49 |
0,5 |
8,8 |
5,0 |
13,9 |
2,0 |
3,6 |
5,1 |
| 50 – 59 |
9,5 |
7,3 |
0,3 |
- |
– |
– |
1,1 |
| 60 – 69 |
6,7 |
1,6 |
–0,8 |
1,9 |
4,9 |
0,1 |
|
| 70 – 79 |
5,2 |
–0,6 |
–0,7 |
– |
– |
– |
–0,7 |
| 80+ |
4,1 |
3,1 |
–0,5 |
– |
– |
– |
0,0 |
| Menn |
|||||||
| 30 – 39 |
– 4,7 |
–5,1 |
3,0 |
7,9 |
– |
– |
0,1 |
| 40 – 49 |
29,0 |
7,3 |
2,9 |
8,0 |
–2,4 |
– |
3,3 |
| 50 – 59 |
8,6 |
16,3 |
5,3 |
– |
– |
– |
6,1 |
| 60 – 69 |
6,0 |
3,4 |
1,5 |
3,6 |
1,0 |
– |
1,8 |
| 70 – 79 |
1,6 |
1,0 |
1,3 |
– |
– |
– |
1,3 |
| 80+ |
2,2 |
12,3 |
–0,4 |
– |
– |
– |
–0,2 |
| Totalgjennomsnitt, kjønns- og aldersstandardisert til den norske befolkningssammensetningen 2002 (>= 30 år) |
1,4² |
||||||
| [i] | |||||||
[i] ¹ Tallene fra hver undersøkelse er veid i gjennomsnittet slik at presise estimater (store undersøkelser) får mer vekt. Vekten er beregnet ut fra den inverse av variansen for prosentvis endring i prevalens, og skalert slik at vektene summeres til 1,0
² Separat for kjønnene blir aldersjustert endring 0,4 % per år for kvinner og 2,5 % per år for menn
Udiagnostisert diabetes
Andelen av alle med diabetes med nyoppdaget sykdom var i overkant av 40 % for menn i MoRo, og 25 – 40 % hos kvinner. I Verdal var sykdommen nyoppdaget hos nesten 50 % av alle med diabetes (alder >= 70 år). Estimatene fra ti ulike undersøkelser i andre europeiske land lå på 30 – 60 % for de fleste grupper, og det var ingen klar sammenheng mellom alder og andel nydiagnostiserte blant dem 30 år eller eldre (12). Kjønns- og aldersjustert totalgjennomsnitt for aldersgruppene >= 30 år var 50 %. Dette antyder at det kan være like mange i befolkningen med udiagnostisert som med diagnostisert diabetes. Resultatene for alle undersøkelsene vises i tabell 5.
Tabell 5
Prevalens av nyoppdaget diabetes ved screening som prosentandel av totalprevalens ulike europeiske undersøkelser¹
| Alder (år) |
HUNT I/ Verdal 1985/7 |
MoRo 2000² |
Sverige |
Finland |
Oulu, Finland |
Hoorn, Holland |
Newcastle, UK |
Polen |
Cremona, Italia |
Viva, Spania |
Catalonia, Spania |
Guia, Spania |
Gjennom-snitt |
| Kvinner |
|||||||||||||
| 30 – 39 |
– |
25 |
0 |
– |
– |
– |
– |
– |
– |
33 |
77 |
– |
45,1 |
| 40 – 49 |
– |
25 |
66 |
79 |
– |
– |
65 |
72 |
43 |
46 |
65 |
27 |
54,1 |
| 50 – 59 |
– |
40 |
75 |
50 |
– |
68 |
63 |
36 |
26 |
51 |
18 |
39 |
46,6 |
| 60 – 69 |
– |
28 |
69 |
44 |
– |
60 |
76 |
57 |
28 |
59 |
31 |
25 |
47,6 |
| 70 – 79 |
47 |
– |
37 |
50 |
59 |
– |
– |
51 |
– |
36 |
27 |
43,7 |
|
| 80+ |
48 |
– |
– |
– |
53 |
– |
– |
– |
17 |
– |
55 |
44 |
43,4 |
| Menn |
|||||||||||||
| 30 – 39 |
– |
38 |
67 |
– |
– |
– |
87 |
– |
– |
0 |
63 |
– |
50,8 |
| 40 – 49 |
– |
49 |
72 |
66 |
– |
77 |
78 |
22 |
92 |
63 |
34 |
61,4 |
|
| 50 – 59 |
– |
42 |
42 |
67 |
– |
71 |
81 |
32 |
76 |
24 |
33 |
51,9 |
|
| 60 – 69 |
– |
44 |
56 |
55 |
– |
65 |
62 |
84 |
29 |
59 |
36 |
33 |
52,1 |
| 70 – 79 |
47 |
– |
17 |
– |
54 |
75 |
– |
– |
35 |
– |
31 |
40 |
42,6 |
| 80+ |
48 |
– |
– |
– |
– |
– |
– |
– |
56 |
– |
45 |
0 |
37,3 |
| Kjønns- og aldersjustert til Norges befolkning 2002 |
49,7 |
||||||||||||
| [i] | |||||||||||||
[i] ¹ Alle de utenlandske undersøkelsene er beskrevet i (12), og kun de fra 1990-årene er tatt med. De representerer primært urbane befolkninger og er ikke nødvendigvis representative for sine respektive land
² Mosjon på Romsås (MoRo) (11) brukte følgende definisjon av nyoppdaget diabetes: Alle med tilfeldig serum-glukose >= 6,1 mmol/l ble bedt om å møte til fastende prøve. Blant disse ble enten fastende serum-glukose >= 7,0 mmol/l eller Hb A1c verdier > 6,4 % definert som diabetes. Hvis noen ikke møtte til den fastende prøven, ble det definert som diabetes hvis de hadde ikke-fastende verdi >= 11,1 mmol/l (3 personer)
Diskusjon
Denne undersøkelsen inkluderte både upubliserte og tidligere publiserte data, og er den hittil mest omfattende oversikt over diabetesprevalens i Norge. Fordi det ikke i noen norske undersøkelser var brukt metoder som var optimale til vårt formål, måtte vi gjøre en rekke antakelser i våre beregninger, og resultatene må ses i lys av dette.
Antakelsen om at all diabetes i aldersgruppene under 30 år er type 1-diabetes, fører sannsynligvis til en beskjeden underestimering av forekomsten av diabetes i denne aldersgruppen. Vårt estimat står i rimelig forhold til resultatene i denne aldersgruppen fra HUNT og Eigersund-studien.
Det er vanskelig å undersøke validiteten til egenrapportert diabetes fordi man ofte ikke finner journaler for alle, og fordi journalene ikke nødvendigvis er riktige. En tidlig studie i Finnmark antydet til dels dårlig validitet (13), men senere studier fra Tromsø (14) og spesielt Nord-Trøndelag (2) antydet god validitet.
På grunn av det store sammenslåtte datamaterialet blir den tilfeldige variasjonen i prevalensestimatet for kjent diabetes svært liten. Men vi må huske at dataene antyder regionale forskjeller og at flere regioner i Norge ikke er representert.
Sammenlikner vi våre resultater med resultater fra andre land, finner vi at prevalensen av kjent diabetes er i samme størrelsesorden som i studier fra Sverige og Finland (12), men langt lavere enn resultater fra Glostrup, Danmark (15) og USA (16). I en studie fra Nord-Sverige fant man på den annen side langt lavere prevalenser enn våre estimater (17). Dette antyder at regionale forskjeller innen land og eventuelt metodeforskjeller kan være viktig.
Vi har ikke skilt mellom type 1- og type 2-diabetes. Mange får type 1-diabetes i voksen alder, og deres sykdom kan lett feilklassifiseres som type 2. I HUNT ble sykdommen hos ca. 18 % av dem med kjent diabetes i aldersgruppen >= 20 år klassifisert som type 1. Av disse syntes omtrent halvparten å ha klassisk type 1, og den andre halvparten hadde såkalt latent autoimmun diabetes hos voksne (latent autoimmune diabetes in adults (LADA)) (K. Midthjell, personlig meddelelse).
Forekomsten av ukjent diabetes er ikke godt dokumentert i Norge, men eksisterende resultater og europeiske undersøkelser antyder at dette kan utgjøre inntil halvparten av alle med diabetes. Feil i dette estimatet har stor innflytelse på totalestimatet for diabetesforekomst. Derfor bør man være forsiktig med å tolke dette inntil vi får sikrere data fra Norge.
Øker forekomsten av kjent diabetes?
Flere studier viser at prevalensen av diabetes øker over tid i mange land, inkludert Norge (2, 3). Enkelte utenlandske studier, bl.a. fra Sverige (17), viser imidlertid liten eller ingen økning i prevalens over tid. Norske data antyder moderat økning i 1990-årene og stor variasjon mellom ulike studier og undergrupper. Derfor må resultatene tolkes med forsiktighet.
Flere faktorer kan påvirke prevalensen av kjent diabetes, blant annet diagnostisk praksis i primærhelsetjenesten, befolkningens andel av etniske grupper med høy forekomst av type 2-diabetes samt dødelighet blant personer med diabetes. Hvis gjennomsnittlig levetid med diagnostisert diabetes øker over tid, vil prevalensen øke uten at antall av nye tilfeller per år (insidensraten) øker. Gjennomsnittlig levetid med kjent diabetes kan øke hvis diabetesdiagnosen stilles tidligere i sykdomsforløpet, eller ved at dødeligheten blant dem med diabetes reduseres, for eksempel på grunn av bedre behandling. I Norge vet vi lite om utviklingen av dødelighet blant personer med diabetes de siste årene (18). Det er grunn til å tro at den kraftige nedgangen i dødelighet av hjerteinfarkt i Norge i 1990-årene (19) også gjelder personer med diabetes.
Studiene som er inkludert i denne artikkelen er neppe berørt av eventuell endring i diagnostisk praksis i primærhelsetjenesten som følge av nye anbefalte diagnostiske kriterier introdusert av WHO i 1998/9 (1) og adoptert av Norsk selskap for allmennmedisin i 2000 (20). På Romsås og Furuset er det en relativt stor andel av innvandrere som har høyere prevalens av type 2-diabetes enn etniske nordmenn. Diabetesprevalensen er også relativt høy blant etniske nordmenn i disse bydelene (A.K. Jenum, personlig meddelelse).
Screening og forebygging av diabetes
Det er i dag ikke mulig å gi anbefalinger for forebygging av type 1-diabetes, men det er godt dokumentert at type 2-diabetes kan forebygges eller utsettes med livsstilsintervensjon blant personer med økt risiko for diabetes (21). Med de nye anbefalte grenseverdiene for blod-glukose identifiserer man til dels forskjellige individer avhengig av om man bruker fastende verdi eller resultatet av glukosetoleransetest, og prevalensen kan variere avhengig av hvilken diagnostiske test man bruker (15). Vi anbefaler at det gjøres befolkningsbaserte undersøkelser med fastende glukosemålinger og glukosetoleransetest i Norge for å kartlegge forekomst av kjent og ukjent diabetes i ulike grupper. Det bør diskuteres hvorvidt en epidemiologisk undersøkelse av diabetes skal være koblet til et forebyggende intervensjonsprogram.
Konklusjon
Anslagsvis 90 000 – 120 000 mennesker har kjent diabetes i Norge i dag. Nesten like mange kan ha udiagnostisert diabetes, men vi trenger nye befolkningsrepresentative undersøkelser med bedre diagnostiske metoder.
Norges Diabetesforbund tok initiativ til prosjektet. I tillegg til forfattene deltok Øystein Krüger, Inger Njølstad, Espen Bjertness, Anne Johanne Søgaard, Bernadette Kumar, Gerd Holmboe-Ottesen i et planleggingsmøte. Vi takker Aage Tverdal, Svetlana Skurtveit, Anne Johanne Søgaard og Sidsel Graff-Iversen ved Nasjonalt folkehelseinstitutt for hjelp med tilgang på data fra helseundersøkelsene, og Sven Ove Samuelsen for hjelp med variansformler. Lars Christian Stene har postdoktor-stipend fra Norges forskningsråd.
Oppgitte interessekonflikter:
Kåre Birkeland og Svein Skeie har mottatt reisestipend, prosjektstøtte og/eller foredragshonorar fra flere farmasøytiske firmaer som markedsfører antidiabetika.
Oppgitte interessekonflikter: Se til slutt i artikkelen
- 1.
Definition, diagnosis and classification of diabetes mellitus and its complications: report of a WHO consultation. Part 1: Diagnosis and classification of diabetes mellitus. Genéve: WHO, 1999.
- 2.
Midthjell K. Diabetes in adults in Nord-Trøndelag: epidemiological and public health aspects of diabetes mellitus in a large, non-selected Norwegian population (Doktorgradsavhandling). Verdal: NTNU, 2001.
- 3.
King H, Aubert RE, Herman WH. Global burden of diabetes, 1995 – 2025: prevalence, numerical estimates, and projections. Diabetes Care 1998; 21: 1414 – 31.
- 4.
Joner G, Søvik O. Increasing incidence of diabetes mellitus in Norwegian children 0 – 14 years of age 1973 – 1982. Diabetologia 1989; 32: 79 – 83.
- 5.
Joner G, Søvik O. The incidence of type 1 (insulin-dependent) diabetes mellitus 15 – 29 years in Norway 1978 – 1982. Diabetologia 1991; 34: 271 – 4.
- 6.
Norsk Epidemiologi nr. 1, 2003. www.medisin.ntnu.no/ism/nofe/norepid2003/Innhold.htm (18.2.2004)
- 7.
Folkehelseinstituttet. www.fhi.no/tema/helseundersokelse/ (18.2.2004).
- 8.
Tromsøundersøkelsen. www.ism.uit.no/tromso5/ (18.2.2004).
- 9.
Bergrem H, Hapnes R. Prevalensen av retinopathi og nefropathi hos diabetikere i en Rogalandskommune. Norsk Epidemiologi 1994; 4: 29 – 33.
- 10.
Lund E, Kumle K, Braaten T, Hjartåker A, Bakken K, Eggen E et al. External validity in a population-based national prospective study – the Norwegian Women and Cancer Study (NOWAC). Cancer Causes Contr 2003; 14: 1001 – 8.
- 11.
Jenum AK, Lorentzen C, Anderssen SA, Birkeland KI, Holme I, Lund-Larsen PG et al. Promoting physical activity in a multi-ethnic district – methods and baseline results of a pseudo-experimental intervention study. Eur J Cardiovasc Prevention Rehab 2003; 10: 387 – 96.
- 12.
The DECODE Study Group. Age- and sex-specific prevalences of diabetes and impaired glucose regulation in 13 European cohorts. Diabetes Care 2003; 26: 61 – 9.
- 13.
Tretli S, Lund-Larsen PG, Foss OP. Reliability of questionnaire information on cardiovascular disease and diabetes: cardiovascular disease study in Finnmark county. J Epidemiol Community Health 1982; 36: 269 – 73.
- 14.
Jacobsen BK, Bønaa KH, Njølstad I. Cardiovascular risk factors, change in risk factors over 7 years, and the risk of clinical diabetes mellitus type 2. The Tromso study. J Clin Epidemiol 2002; 55: 647 – 53.
- 15.
DECODE Study Group. Will new diagnostic criteria for diabetes mellitus change phenotype of patients with diabetes? Reanalysis of European epidemiological data. BMJ 1998; 317: 371 – 5.
- 16.
Mokdad AH, Ford ES, Bowman BA, Dietz WH, Vinicor F, Bales VS et al. Prevalence of obesity, diabetes, and obesity-related health risk factors, 2001. JAMA 2003; 289: 76 – 9.
- 17.
Eliasson M, Lindahl B, Lundberg V, Stegmayr B. No increase in the prevalence of known diabetes between 1986 and 1999 in subjects 25 – 64 years of age in northern Sweden. Diabet Med 2002; 19: 874 – 80.
- 18.
Krüger Ø, Midthjell K, Holmen J, Tverdal A. Dødelighet blant diabetikere i Nord-Trøndelag 1984 – 90 i relasjon til forventet dødelighet. Norsk Epidemiologi 1994; 4: 57 – 62.
- 19.
Tverdal A, Nelson E. Dødeligheten i Norge av forskjellige årsaker 1951 – 98. SHUS-rapport nr. 3/2001. Oslo: Statens helseundersøkelser, 2001.
- 20.
Claudi T, Cooper JG, Midthjell K, Daae C, Furuseth K, Hanssen KF. NSAMs handlingsprogram for diabetes i allmennpraksis. Skriftserie for leger: Utdanning og kvalitetssikring. Oslo: Den norske lægeforening, 2000.
- 21.
Birkeland KI. Kan diabetes forebygges? Tidsskr Nor Lægeforen 2002; 122: 155.