Om å se skogen…

    ()

    sporsmal_grey_rgb
    Artikkel

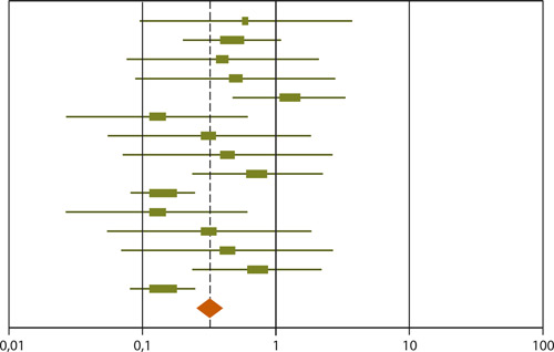
    Det er vanlig å presentere resultater fra metaanalyser grafisk i form av et «forest plot» (fig 1), et diagram som fremstiller til dels kompliserte statistiske sammenhenger på en visuelt enkelt forståelig måte. Vi kan se flere eksempler på dette i Larun & Malteruds artikkel i dette nummer av Tidsskriftet (1). Et slikt diagram kan i engelskspråklig litteratur av og til også kalles «blobbogram» (2).

    Opprinnelsen til uttrykket «forest plot» er usikker. Skogen som det refereres til, kan ha å gjøre med diagrammets «skog av linjer» (3) eller, i overført betydning, at diagrammet er nyttig når vi ikke kan «se skogen for bare trær» (2).

    Betegnelsen fortjener en god norsk oversettelse, slik vi også har norske navn på andre typer diagrammer, som søylediagram (bar chart) og spredningsdiagram (scatter plot). En enkel norsk oversettelse av «forest plot» vil være skogdiagram, men et slikt ord kan lett gi assosiasjoner mer i retning av skogbruk enn statistikk og er ikke så intuitivt forståelig som for eksempel søyle-, kake- og spredningsdiagram.

    Hvis noen av Tidsskriftets lesere har et forslag til en god norsk oversettelse av «forest plot», tar redaksjonen gjerne imot det.

    Kommentarer  ( 0 )
    PDF
    Skriv ut

    Anbefalte artikler