Oddsforholdet
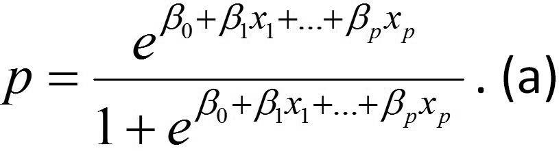
I en logistisk regresjonsmodell er vi ute etter å modellere sannsynligheten for responsen vår, f.eks. sannsynligheten for sykdom. La oss betegne denne sannsynligheten med p. I den logistiske modellen antar vi at vi kan modellere p som en funksjon av våre forklaringsvariabler x1,…xp på følgende vis:

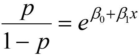
Legg merke til at p nå alltid vil ligge mellom 0 og 1, som vi vil ønske. Ved å flytte litt om på ligningen over kan den også uttrykkes som

hvor ln-funksjonen betegner den naturlige logaritmefunksjonen med grunntall e. Størrelsen p/(1-p) kalles for odds, og funksjonen ln(odds) kalles ofte for logit-funksjonen. Nå ser vi likheten med den lineære regresjonsmodellen, ved at høyresiden av regresjonsligningen er en lineær funksjon av forklaringsvariablene. Vi ser imidlertid også en klar forskjell, nemlig at regresjonskoeffisientene ikke direkte gir sammenhengen mellom forklaringsvariablene våre og responsen, siden venstresiden i ligningen ikke er vår responsvariabel y, men ln(p/(1-p)). Vi må dermed gjøre en transformasjon av regresjonskoeffisientene for å få noe som er tolkbart.
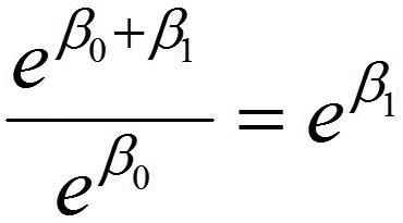
La oss tenke oss en enkel situasjon med én enkelt forklaringsvariabel x, og la x ta verdiene 0 og 1 (ikke-eksponert versus eksponert). I eksemplet vårt med blodtrykk og død av hjerte- og karsykdommer kan vi tenke på dette som at man er eksponert dersom man har et systolisk blodtrykk over 140 mm Hg og ikke-eksponert ved verdier under 140 mm Hg. Først ser vi at ved å bruke eksponentialfunksjonen på begge sider av likhetstegnet får vi

hvor p/(1-p) altså er oddsen for responsen vår. For x = 1 blir oddsen
, mens for x = 0 blir oddsen
. Forholdet mellom disse to størrelsene blir da oddsforholdet (OR), et mye brukt effektmål, og vi ser at vi sitter igjen med
siden
.
Altså, i logistisk regresjon er vårt naturlige effektmål ikke regresjonskoeffisienten β, men eβ siden dette gir oss oddsforholdet.
La oss anta at dataene gir en estimert regresjonskoeffisient på 0,81. Da har vi OR = e0.81 = 2,25, som sier at oddsen for død av hjerte- og karsykdommer er 2,25 ganger høyere om man har et systolisk blodtrykk over 140 mm Hg enn om man ligger under 140 mm Hg. Alle standard statistikkpakker vil kunne gi resultatene av en logistisk regresjonsmodell i form av OR med tilhørende konfidensintervall.