BACKGROUND
Polyhexamethylene biguanide hydrochloride/polyhexanide/polyaminopropyl biguanide (PHMB) is used as a disinfectant and antiseptic. This article discusses the use of the substance as an antiseptic. We summarise published data on its antimicrobial effect in vitro and its clinical effect and safety when used on skin, wounds and mucosa.
MATERIAL AND METHOD
A literature search was conducted in PubMed for articles published in the last five years. Articles available as of June 2014 were considered.
RESULTS
Of 332 articles identified, 27 were included. In vitro studies have demonstrated an antimicrobial effect on Gram-negative bacteria, Gram-positive bacteria and Candida albicans. The clinical studies are small, not well controlled and frequently sponsored by industry. Few adverse effects from the substance were reported.
INTERPRETATION
Better designed, larger-scale clinical studies of effect and safety are needed in order to give recommendations on the use of polyhexanide on skin, wounds and mucosa.
Ved alle sykehusavdelinger kommer man daglig i kontakt med desinfeksjonsmidler (bruksområde teknisk desinfeksjon) og antiseptika (bruksområde hud og slimhinner). Klorheksidin er et av de mest brukte antiseptiske midler i Norge. Det bør brukes med forsiktighet hos premature på grunn av risikoen for hudirritasjon og kjemiske brannsår. Dette gjelder trolig spesielt premature under 1 000 g de første syv dagene (1). Det er derfor ønskelig med flere antiseptika som er egnet til bruk hos denne gruppen.
Sanering av meticillinresistente gule stafylokokker (MRSA) er også et område hvor det er ønskelig med flere alternative antiseptika – både på grunn av sikkerhetsaspekter hos noen pasientgrupper og fordi det er få topikale midler å velge mellom dersom det skulle inntreffe terapisvikt. Det er også et generelt behov for antiseptika som har effekt mot nakne virus (f.eks. norovirus) og sporedannende bakterier (f.eks. Clostridium difficile).
Med tanke på økende antibiotikaresistens kan antiseptika komme til å spille en større rolle i helsetjenesten. Det er viktig at effekt og bivirkninger av nye produkter som tas i bruk er godt dokumentert.
Polyheksametylenbiguanidhydroklorid/poliheksanid/polyaminopropylbiguanid (PHMB) har vært markedsført i USA i flere tiår som et desinfeksjonsmiddel. Statens legemiddelverk godkjente i 2014 noen produkter med stoffet som desinfeksjonsmidler til teknisk bruk i helse- og sykepleie. Denne godkjenningen omfatter ikke antiseptisk bruk i helsetjenesten. Produkter med poliheksanid markedsføres nå i økende grad også som antiseptika. Samtidig foregår det en prosess i EU der PHMB-produkter risikovurderes for godkjenning som biocider (midler til bekjempelse av uønskede organismer) (2). Denne vurderingen vil trolig ta flere år.
Det finnes lite informasjon om poliheksanid, samtidig som det er viktig at helsepersonell velger antiseptikum på et best mulig grunnlag. Vi ønsket derfor å gjøre et litteratursøk for å oppsummere data om den antimikrobielle effekten av stoffet in vitro og sikkerhet og klinisk effekt ved bruk på hud, sår og slimhinner.
Kunnskapsgrunnlag
Det ble gjort fire søk i PubMed 27.6. 2014 med filter for de siste fem år (fig 1). Første søk: polyhexamethylene biguanide (supplementary concept). Andre søk: «Microbial Sensitivity Tests» AND «Anti-Infective Agents, Local». Tredje søk: tekstsøk med «PHMB». Fjerde søk: «Carrier state» AND «Methicillin-Resistant Staphylococcus aureus«(filter Clinical Trials).
Søkene ga til sammen 332 treff. Vi fant flere oversiktsartikler om klinisk effekt og sikkerhet av poliheksanid. Vi utvidet derfor ikke søket bakover i tid. I 2013 kom det en oversiktsartikkel der biokjemiske mekanismer som trolig er grunnlaget for antimikrobiell effekt av stoffet ble diskutert (3), slik at dette området også var godt dekket bakover i tid.
Oversiktsartikler og originalartikler om antimikrobiell effekt in vitro og klinisk effekt og sikkerhet ved bruk på hud og slimhinner ble inkludert, mens kasuistikker ble ekskludert. Vi vurderte relevans ut fra tittel og/eller sammendrag. Artikler som hovedsakelig handlet om PHMB-frigjøring fra forskjellige materialer, påvirkning fra surfaktanter, emulsjoner, tilstedeværelse av albumin og effekt av selve bandasjematerialet ble ekskludert. Resultatene i slike studier er ofte vanskelige å relatere til overordnet klinisk effekt, og vi anså dem ikke som essensielle i denne sammenheng. Videre ekskluderte vi artikler som ikke var elektronisk tilgjengelige og artikler om behandling av akantamøbekeratitt og om konservering av linsevæsker for å hindre dette. Artikler på skandinaviske språk og engelsk ble inkludert – til sammen 27 artikler.
Kjemiske egenskaper
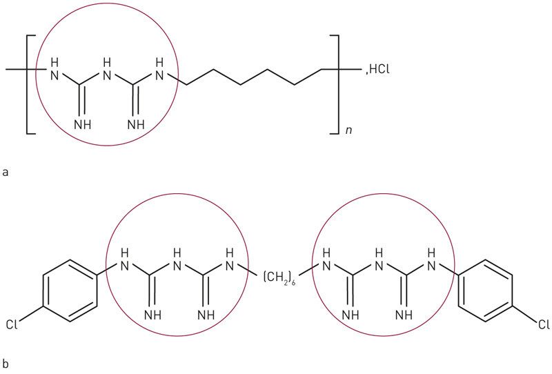
Polyheksametylenbiguanidhydroklorid/poliheksanid/polyaminopropylbiguanid er et biguanid, og molekylene foreligger i en kjede (polymer) (fig 2). Biguanider er sterke baser, og PHMB-stoffer er derfor sterkt positivt ladet ved fysiologisk pH. Dette har trolig stor betydning for virkningsmekanismen, som ikke er helt forstått (3).
Antimikrobiell effekt in vitro
Koburger og medarbeider bestemte minste hemmende konsentrasjon (MIC) og minste baktericide konsentrasjon (MBC) av poliheksanid i henhold til tyske standarder (4). MIC-verdien varierte fra 0,5 mg/l til 4 mg/l, MBC-verdien fra 1 mg/l til 32 mg/l for utvalgte gramnegative og grampositive bakterier. Resultatene for poliheksanid var noe bedre enn for klorheksidinglukonat. De sammenlignet også den antimikrobielle effekten av flere antiseptika mot Staphylococcus aureus, Pseudomonas aeruginosa og Candida albicans i henhold til to europeiske standarder for kvantitativ suspensjonstest. For poliheksanid var det nødvendig med meget lang eksponeringstid eller meget høy konsentrasjon for å redusere antall bakterier tilstrekkelig i denne testen, men stoffet hadde noe bedre effekt enn klorheksidin.
Det er også funnet at stoffet reduserer antall meticillinfølsomme S. aureus (MSSA) i infiserte vevsbiter fra gris in vitro (5), og det er sett positive effekter av stoffet sammen med vakuumbehandling av vevsbiter infisert med P. aeruginosa (6, 7). I en in vitro-studie ble bandasjer med og uten antimikrobielle midler inokulert med 10⁴ kolonidannende enheter (colony forming units, CFU) av S. aureus eller P. aeruginosa. Ingen av de testede produktene reduserte den opprinnelige bakteriemengden, men det var mindre bakterievekst og biofilmdanning i PHMB-bandasjene enn i bandasjene uten antimikrobielt middel. Undersøkelsen var ikke industrisponset (8).
Rohrer og medarbeidere fant at en vandig løsning med oktenidin (ukjent konsentrasjon), 0,1 – 0,25 % PHMB og 0,2 % klorheksidinglukonat hadde tilsvarende antimikrobiell effekt (potens og spektrum) i en in vitro-studie med mikroorganismer som er vanlige i munnen (9).
Det er vist at poliheksanid i konsentrasjoner som brukes for desinfeksjon i svømmebassenger (50 ppm) ikke inaktiverer adenovirus (10). Den antimikrobielle effekten av stoffet in vitro på mykobakterier, andre sopper enn C. albicans og virus har vi funnet lite data på, men det er gjort noen få studier (11) – (13). I en industrisponset studie der man primært undersøkte hvordan biocider penetrerer celleveggen til mykobakterier, fant man en MIC-verdi for poliheksanid på 5 mg/l ved testing med Mycobacterium smegmatis (14).
I en oversiktsartikkel fra 2013 om biokjemiske virkningsmekanismer ble det rapportert at det foreløpig ikke var sett resistensutvikling hos bakterier ved PHMB-bruk (3).
Huddesinfeksjon og sårbehandling
I fire oversiktsartikler, som etter vår vurdering er av lav kvalitet, angis det blant annet at poliheksanid virker sårhelende, reduserer mengden bakterier i sår og ikke fører til bakteriell resistens (15) – (18). Alle de fire artiklene er publisert i tidsskrifter med lav eller ingen impaktfaktor og bærer preg av manglende kritisk vurdering av de omtalte studiene. To av artiklene er industrisponset (15, 16), og den ene av dem mangler informasjon om forfatternes arbeidssted (16). Det er opplyst i den fjerde (18) at en av forfatterne har en patentsøknad inne for medisinsk utstyr med poliheksanid som aktivt stoff.
Utvalgte variabler ved de inkluderte kliniske studiene er vist i tabell 1 (19) – (27). Tabellen er laget med utgangspunkt i sjekkliste for rapportering av kliniske randomiserte studier (19). Lee og medarbeidere fant redusert infeksjonsfrekvens i hud relatert til eksterne fiksasjoner etter bruk av kompresser med 0,2 % PHMB-innhold, sammenlignet med kompresser med saltvann hos kontrollgruppen (24). I en Cochrane-utredning ble dette arbeidet fremhevet, men det ble kritisert at man hadde telt infeksjoner med antall observasjoner av sår som nevner (1 932 observasjoner) i stedet for antall pasienter (38 stykker) (28).
Findlay og medarbeidere undersøkte PHMB-bruk versus mupirocinbruk på innstikksstedet for dialyse. De fant høyere forekomst av infeksjoner, hovedsakelig Pseudomonas og S. aureus, i PHMB-gruppen, men det må nevnes at det i denne gruppen var en noe høyere forekomst av diabetes (25). I noen små studier fant man at PHMB-bandasjer ga mindre smerte og redusert bakteriemengde i kroniske sår (20, 22), bedret sårtilhelingsprosessene (21) og reduserte biofilm i sår (23).
PHMB-produkter rapporteres å ha bidratt positivt i behandlingen av visse infeksjoner i cervix, hovedsakelig forårsaket av humant papillomvirus (26, 27, 29). I den ene originalstudien (27) ble det oppgitt som demografiske utgangsverdier at gruppene var like når det gjaldt fødeland, seksuell orientering og tidligere seksuelt overførbare sykdommer. Den siste artikkelen (29) var en industrisponset oversikt om bruk av poliheksanid mot genitale infeksjoner, selv om forfatterne kun fant studier om bakteriell vaginose og humant papillomvirus. Forfatterne diskuterte ikke eventuelle svakheter ved de tre inkluderte studiene.
Bivirkninger
I de fleste kliniske studier fant man ikke bivirkninger i PHMB-gruppene (20, 21, 24, 26, 27). Findlay og medarbeidere oppga at stoffet var godt tolerert, og det var kun to tilfeller av forbigående lokalt huderytem (25).
Fire pasienter ble ekskludert fra Lenselink og medarbeideres studie på grunn av bivirkninger relatert til testproduktet, som var en PHMB-bandasje (23). Stoffet var dårlig tolerert i cervixepitel hos mus og var mer cytotoksisk enn andre polydispergerte biguanider i en in vitro-studie (30).
Annet
Vi fant ikke studier der man hadde testet stoffet ved MRSA-sanering, heller ikke studier med bruk hos nyfødte eller studier der man hadde testet effekten mot nakne virus eller sporedannende bakterier (f.eks. Clostridium difficile).
Diskusjon
Den kliniske effekten av og sikkerheten til poliheksanid er sparsomt undersøkt. In vitro-studier har vist antimikrobiell effekt mot gramnegative bakterier, grampositive bakterier og C. albicans. Det er foreløpig ikke sett resistensutvikling hos bakterier ved bruk av stoffet. Vi er ikke kjent med studier der man har undersøkt den antimikrobielle effekten på bruksområder hvor det er behov for alternativer til eksisterende antiseptika.
Effekt
De MIC-verdiene for poliheksanid som ble funnet av Koburger og medarbeidere varierte fra 0,5 mg/l til 4 mg/l for utvalgte gramnegative og grampositive bakterier (4). Til sammenligning har et desinfeksjonsmiddel som er godkjent av Statens legemiddelverk til teknisk desinfeksjon en PHMB-konsentrasjon på 9 g/l. Produktet er også godkjent for effekt mot sporer og mykobakterier (31). En studie viser en MIC-verdi på 5 mg/l for M. smegmatis (14), men vi har ikke funnet artikler om testing på Mycobacterium terrae eller Mycobacterium avium, som er de artene som normalt brukes til dokumentasjon av antimykobakteriell effekt.
Vi har heller ikke funnet publiserte data om antimikrobiell effekt av stoffet mot sporer. Poliheksanid og klorheksidin har en viss kjemisk likhet (fig 2) (32). Man kan derfor anta at den antimikrobielle effekten ligner, men klorheksidin er ikke kjent for å ha antimikrobiell effekt mot verken sporer eller mykobakterier.
Det er ikke vist raskt innsettende antimikrobiell effekt av poliheksanid (4). Det må dermed stilles spørsmål ved om stoffet er egnet til eksempelvis preoperativ huddesinfeksjon. Tre av de industrisponsede kliniske studiene (20, 21, 23) ga positive resultater. I to av disse målte man imidlertid hovedsakelig myke endepunkter, som smerte og bakteriemengder i sår (20, 21), mens man i den tredje analyserte resultatene for bare 16 av de opprinnelige 28 pasientene (23). Vi vurderer den kliniske relevansen av dem som lav.
I de to studiene der man undersøkte effekten av PHMB-produkter mot humant papillomvirus i cervix (26, 27), inneholdt disse produktene også andre stoffer som kan ha bidratt til effekten (33). Alle de kliniske studiene har svakheter i studiedesign, vi viser til tabell 1 for mer informasjon. Ikke for noen av de inkluderte kliniske studiene var det sendt inn protokoll før studiestart til det offentlige registeret ClinicalTrials.gov (34) eller andre tilsvarende registre.
Poliheksanid er ikke anbefalt i førende retningslinjer om håndhygiene (35) – (37), preoperativ huddesinfeksjon (38), kirurgisk hånddesinfeksjon (38) eller teknisk desinfeksjon i helsevesenet (39, 40). Søk på «PHMB», «polihexanide» eller «polyhexamethylene biguanide» i en internasjonal database over retningslinjer ga ingen treff (41).
I de fleste studiene om huddesinfeksjon er det poliheksanid i bandasjer eller kompresser som er testet for effekt i sår. I en artikkel om antimikrobiell behandling av ikke-helende sår fra European Wound Management Association konkluderes det med at det er lite som taler for bruk av topikale antibiotiske eller antiseptiske behandlinger for å hindre sårinfeksjon, spesielt gjelder det diabetiske fotsår (42). De har ikke funnet indikasjoner for at topikale antibiotiske eller antiseptiske behandlinger kan hindre reinfeksjon, og angir at det er få indikasjoner på at antimikrobielle midler i bandasjen virker i effektive konsentrasjoner i selve såret. Dette utsagnet er ikke i samsvar med anbefalinger i industrisponsede artikler (4) – (7, 15, 16, 20, 22, 23), der man ønsker å innføre bruk av poliheksanid til sårstell og i bandasjer.
Bivirkninger
Et generelt inntrykk fra artiklene er at det ikke har vært en prioritert oppgave å undersøke eller samle inn data om bivirkninger. Bivirkninger er ofte ikke systematisk undersøkt i studier som primært handler om effekt. Det er vanskelig å vurdere potensielle typer og frekvenser av bivirkninger i et materiale som er basert på meget små studier. En in vitro- og in vivo- studie (på mus) tyder på at poliheksanid er cytotoksisk for hudceller (30). Den kjemiske likheten med klorheksidin vil trolig også innebære at stoffet har lignende bivirkninger (hypersensitivitet, anafylaksi) og samme kontraindikasjoner som for klorheksidin (f.eks. bruk i øre).
European Chemicals Agency (ECHA) har laget et dokument som foreslår hvordan poliheksanid skal klassifiseres og merkes ved vurdering som biocid. Stoffet er blant annet klassifisert som livsfarlig ved innånding, det er mistenkt for å fremkalle kreft, kan forårsake allergisk hudreaksjon, forårsaker alvorlig øyeskade og skader på respirasjonssystemet ved gjentatt eksponering (2). Klassifisering som livsfarlig ved innånding ved inhalasjon kan bety at det vil utgjøre en spesiell risiko i aerosolform (3). ECHA-rapporten gir en introduksjon til stoffets farmakologiske toksisitet og potensial som biocid, men inneholder ikke mikrobiologiske tester. Det finnes ikke noen lignende ECHA-rapport om klorheksidin.
Grunnet status som livsfarlig ved innånding ble poliheksanid forbudt i kosmetikkprodukter fra 1.1. 2015. Scientific Committee on Consumer Safety (SCCS) advarer i tillegg spesielt mot bruk i sprayformuleringer (43).
Konklusjon
Bedre designede og større kliniske studier der man også undersøker effekt og sikkerhet grundig er nødvendig for å kunne gi anbefalinger om bruk av poliheksanid på hud, sår og slimhinner.
HOVEDBUDSKAP
Den kliniske effekten av og sikkerheten til poliheksanid er meget svakt dokumentert
In vitro-studier har vist antimikrobiell effekt mot gramnegative bakterier, grampositive bakterier og Candida albicans
Det er rapportert om få bivirkninger i de kliniske studiene
Bedre dokumentasjon bør foreligge før antisepsis med poliheksanid kan anbefales
- 2.
European Chemicals Agency (ECHA). Committee for Risk Assessment RAC. Opinion proposing harmonised classification and labelling at EU level of Polyhexamethylene biguanide or Poly(hexamethylene) biguanide hydrochloride or PHMB. CLH-O-0000003799-56-03/F. Adopted 14.3.2014. http://echa.europa.eu (28.5.2015).
- 13.
Pinto F, Maillard JY, Denyer SP et al. Polyhexamethylene biguanide exposure leads to viral aggregation. J Appl Microbiol 2010; 108: 1880 – 8. [PubMed]
- 17.
Ousey K, McIntosh C. Topical antimicrobial agents for the treatment of chronic wounds. Br J Community Nurs 2009; 14 (suppl 4): S6 – 10, S8, S10 passim.
- 20.
Eberlein T, Haemmerle G, Signer M et al. Comparison of PHMB-containing dressing and silver dressings in patients with critically colonised or locally infected wounds. J Wound Care 2012; 21: 12 – 20, 14 – 6, 18 – 20.
- 23.
Lenselink E, Andriessen A. A cohort study on the efficacy of a polyhexanide-containing biocellulose dressing in the treatment of biofilms in wounds. J Wound Care 2011; 20: 534 – 9, 536 – 9.
- 25.
Findlay A, Serrano C, Punzalan S et al. Increased peritoneal dialysis exit site infections using topical antiseptic polyhexamethylene biguanide compared to mupirocin: results of a safety interim analysis of an open-label prospective randomized study. Antimicrob Agents Chemother 2013; 57: 2026 – 8. [PubMed] [CrossRef]
- 27.
Gerli S, Bavetta F, Di Renzo GC. Antisepsis regimen in the surgical treatment of HPV generated cervical lesions: polyhexamethylene biguanide vs chlorhexidine. A randomized, double blind study. Eur Rev Med Pharmacol Sci 2012; 16: 1994 – 8. [PubMed]
- 28.
Lethaby A, Temple J, Santy-Tomlinson J. Pin site care for preventing infections associated with external bone fixators and pins. Cochrane Database Syst Rev 2013; 12: CD004551. [PubMed]
- 31.
Statens legemiddelverk. Kjemiske desinfeksjonsmidler til teknisk bruk i helse- og sykepleie. Oslo: Statens legemiddelverk, 2014. www.slv.no/Godkjenning_og_regelverk/Desinfeksjonsmidler/PublishingImages/Desinfeksjonsmiddelliste%20sept%202014.pdf (18.12.2014).
- 32.
Martindale the complete drug reference. London: Pharmaceutical Press, 2014. www.medicinescomplete.com (1.8.2014).
- 33.
Monogin. www.lolipharma.net/it/prodotti/dispositivi-medici/monogin-ovuli.html (27.1.2016).
- 34.
ClinicalTrials.gov. https://clinicaltrials.gov/ (27.1.2016).
- 35.
Nasjonalt folkehelseinstitutt. Nasjonal veileder for håndhygiene. Om hvordan riktig håndhygiene kan hindre smittespredning og reduserer risikoen for infeksjoner. Oslo: Nasjonalt folkehelseinstitutt, 2004. www.fhi.no (1.8.2014).
- 36.
World Health Organization (WHO). WHO Guidelines on Hand Hygiene in Health Care. First Global Patient Safety Challenge Clean Care is Safer Care. Genève: WHO, 2009. www.who.int. (1.8.2014).
- 38.
WHO Guidelines for Safe Surgery 2009: Safe Surgery Saves Lives. Genève: WHO, 2009.
- 39.
Norsk Legemiddelhåndbok. L1.9.1 Kjemiske midler til teknisk desinfeksjon 2013. Norsk Legemiddelhåndbok. www.legemiddelhandboka.no (1.8.2014).
- 40.
Centers for Disease Control and Prevention (CDC). Guideline for Disinfection and Sterilization in Healthcare Facilities. Washington D.C.: Centers for Disease Control and Prevention, 2008. www.cdc.gov/ (1.8.2014).
- 41.
The Guidelines International Network (GIN). International Guideline Library: The Guidelines International Network (GIN). www.helsebiblioteket.no (5.12.2013).
- 43.
European Comission. SCCS (Scientific Committee on Consumer Safety). Opinion on the safety of poly(hexamethylene) biguanide hydrochloride or polyaminopropyl biguanide (PHMB) in cosmetic products, 18 June 2014, SCCS/1535/14, revision of 16 December 2014. http://ec.europa.eu/health/scientific_committees/consumer_safety/ (2.1.2015).