In all hospital departments one comes into contact with disinfectants (used for technical disinfection) and antiseptics (used on skin and mucosa) on a daily basis. Chlorhexidine is one of the most commonly used antiseptic solutions in Norway. It should be used with caution in premature infants because of the risk of skin irritation and chemical burns. This applies in particular to premature infants weighing less than 1000 grams during their first seven days of life (1). There is thus a need for other antiseptics that are suitable for this group.
Disinfection of methicillin-resistant Staphylococcus aureus is also an area where more alternative antiseptics are needed – because of safety aspects in some patient groups, and because there are few topical substances to choose from in the event of therapeutic failure. There is also a general need for antiseptics that are effective against naked viruses (e.g. the norovirus) and spore-forming bacteria (e.g. Clostridium difficile).
In the light of increasing antibiotic resistance, antiseptics may come to play a greater role in the health services. It is essential that the efficacy and adverse effects of any new products to be introduced are well documented.
Polyhexamethylene biguanide hydrochloride/polyhexanide/polyaminopropyl biguanide (PHMB) has been marketed in the USA for many decades as a disinfectant. In 2014, The Norwegian Medicines Agency approved certain products containing the substance as disinfectants for technical use in health care. This approval does not encompass antiseptic use in the health services. Products containing polyhexanide are now increasingly marketed as antiseptics, while a risk assessment process is underway in the EU for approval of PHMB products as biocides (substances for combatting unwanted organisms) (2). This assessment will probably take several years.
Little information is available on polyhexanide; however, it is important that health personnel have the best possible basis for choosing an antiseptic. We therefore aimed at conducting a literature search to summarise data on the antimicrobial efficacy of the substance in vitro, and its safety and clinical efficacy for use on skin, wounds and mucosa.
Material and method
Four searches were conducted in PubMed on 27 June 2014 with a filter for the previous five years (Fig. 1). First search: polyhexamethylene biguanide (supplementary concept). Second search: «Microbial Sensitivity Tests» AND «Anti-Infective Agents, Local». Third search: text search with «PHMB». Fourth search: «Carrier state» AND «Methicillin-Resistant Staphylococcus aureus» (filter Clinical Trials).
The searches resulted in a total of 332 hits. We found several review articles on the clinical efficacy and safety of polyhexanide. We therefore did not extend the search further back in time. A review article from 2013 was found which discussed the biochemical mechanisms that are presumed to form the basis for the microbial efficacy of the substance (3), such that past findings in this area were also well covered.
Review articles and original articles on antimicrobial efficacy in vitro, and clinical efficacy and safety for use on skin and mucosa were included, but case studies were excluded. We assessed their relevance based on title and/or abstract. Articles that primarily concerned the release of PHMB from various materials, the effect of surfactants, emulsions, presence of albumin and the efficacy of the dressing material itself were excluded. The results of these types of studies are frequently difficult to relate to the overall clinical efficacy, and we did not consider them essential in this context. We also excluded articles that were not available electronically, and articles on the treatment of acanthamoeba keratitis and on preservatives in contact lens solution to prevent this. Articles in English and the Scandinavian languages were included – a total of 27 articles.
Chemical properties
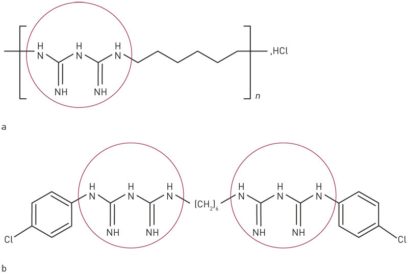
Polyhexamethylene biguanide hydrochloride/polyhexanide/polyaminopropyl biguanide is a biguanide, the molecules of which form a chain (polymer) (Fig. 2). Biguanides are strong bases, and PHMB substances are therefore highly positively charged at physiological pH. This is thought to be of considerable significance for their mechanism of action, which is not fully understood (3).
Antimicrobial efficacy in vitro
Koburger and colleagues determined the minimum inhibitory concentration (MIC) and minimum bactericidal concentration (MBC) of polyhexanide in relation to German standards (4). The MIC value varied from 0.5 mg/l to 4 mg/l, the MBC value from 1 mg/l to 32 mg/l for selected gram-negative and gram-positive bacteria. The results for polyhexanide were somewhat better than for chlorhexidine gluconate. They also compared the antimicrobial efficacy of several antiseptics on Staphylococcus aureus, Pseudomonas aeruginosa and Candida albicans in relation to European standards for the quantitative suspension test. For polyhexanide a very long exposure time or very high concentration was necessary to adequately reduce the number of bacteria in this test, but the substance had a somewhat better efficacy than chlorhexidine.
It was also found that the substance reduces the number of methicillin-sensitive S. aureus (MSSA) in infected samples of porcine tissue (5), and positive effects of the substance were seen in conjunction with vacuum treatment of tissue samples infected with P. aeruginosa (6, 7). In an in vitro study, dressings with and without antimicrobial substances were inoculated with 10⁴ colony forming units (CFU) of S. aureus or P. aeruginosa. None of the products tested reduced the original number of bacteria, but there was less bacterial growth and biofilm formation in PHMB dressings than in dressings with no antimicrobial substance. The study was not sponsored by industry (8).
Rohrer and colleagues found that an aqueous solution of octenidine (concentration unknown), 0.1 – 0.25 % PHMB and 0.2 % chlorhexidine gluconate had a similar antimicrobial efficacy (potency and spectrum) in an in vitro study of common oral microorganisms (9).
It has been demonstrated that polyhexanide in concentrations used for disinfection of swimming pools (50 ppm) does not inactivate the adenovirus (10). We have found few data on the antimicrobial efficacy of the substance on mycobacteria in vitro, fungi other than C. albicans, or viruses, but a small number of studies have been conducted (11) – (13). In an industry-sponsored study which primarily investigated how biocides penetrate the cell wall of mycobacteria, an MIC value for polyhexanide of 5 mg/l was found when testing with Mycobacterium smegmatis (14).
In a review article from 2013 on biochemical mechanisms of action, it was reported that at that time no development of bacterial resistance was observed with the use of PHMB (3).
Skin disinfection and wound treatment
Four review articles, which we consider to be of poor quality, state that polyhexanide has a wound-healing effect, reduces the number of bacteria in wounds and does not lead to bacterial resistance (15) – (18). All four articles are published in journals with a low impact factor or with none, and which seem to show a lack of critical assessment of the studies discussed. Two of the articles are industry-sponsored (15, 16), and one of them lacks information on the authors’ place of work (16). The fourth article (18) reports that one of the authors has applied for a patent for medical equipment with polyhexanide as its active agent.
Selected variables in the clinical trials included are shown in Table 1 (19) – (27). The table has been prepared on the basis of a checklist for reporting of randomised clinical trials (19). Lee and colleagues found reduced frequency of skin infection related to external fixators after use of a compression dressing impregnated with 0.2 % PHMB content, compared to a compression dressing with saline solution in the control group (24). A Cochrane review highlighted this study, but it was criticised for having counted infections with the number of observations of wounds as the denominator (1 932 observations), instead of the number of patients (38 participants) (28).
Table 1
Overview of the clinical trials, based on the checklist for reporting of randomised clinical trials (CONSORT 2010 Statement) (19). The table also has information on the impact factor of the journals
| First author (reference) |
Eberlein (20) |
Elzinga (21) |
Sibbald (22) |
Lenselink (23) |
Lee (24) |
Findlay (25) |
Gentile (26) |
Gerli (27) |
| Industry-sponsored |
Yes |
– |
Yes |
Yes |
– |
Yes |
– |
– |
| Randomised |
Yes |
– |
Yes |
– |
Yes |
Yes |
Yes |
Yes |
| Blinding |
– |
– |
Yes |
– |
Yes |
– |
– |
Yes |
| Baseline values – demographic and clinical data for each group |
Yes |
Yes |
Some |
Some |
Some |
Some |
Only clinically irrelevant information |
|
| Number of patients |
38 |
20 |
45 |
28, but only 16 who completed |
38 |
106 |
100 |
50 |
| Follow-up time |
28 days |
14 days |
5 weeks |
Max. 24 weeks |
12 weeks |
13 months |
6 months |
6 weeks |
| Active treatment/control group |
PHMB in dressing/Ag dressing |
PHMB in dressing |
PHMB in dressing/regular dressing |
PHMB in dressing |
PHMB in dressing/saline dressing |
PHMB/mupirocine |
PHMB solution/untreated |
PHMB pessaries/chlorhexidine pessaries |
| Adverse effects |
0 |
0 |
Minimal |
4 |
0 |
The article informs of both milder and more severe adverse effects |
0 |
0 |
| Journal’s impact factor 2014 |
1.069 |
1.069 |
1.106 |
1.069 |
2.765 |
4.476 |
Not stated |
1.213 |
Findlay and colleagues investigated PHMB versus mupirocin use at dialysis catheter exit sites. They found a higher prevalence of infections, mainly Pseudomonas and S. aureus, in the PHMB group, but it is worthy of mention that there was a somewhat higher prevalence of diabetes in this group (25). In some smaller studies it was found that PHMB dressings resulted in less pain and a reduced number of bacteria in chronic wounds (20, 22), improved wound-healing processes (21) and reduced biofilm in wounds (23).
PHMB products are reported to have contributed positively to the treatment of certain infections of the cervix, primarily caused by the human papilloma virus (26, 27, 29). In the one original study (27) the similarity of the groups with regard to country of birth, sexual orientation and previous sexually transmitted diseases was stated as demographic baseline values. The final article (29) was an industry-sponsored review of the use of polyhexanide for genital infections, although the authors only found studies on bacterial vaginosis and human papilloma virus. The authors did not discuss possible weaknesses of the three studies included.
Adverse effects
In the majority of the clinical trials, no adverse effects were found in the PHMB groups (20, 21, 24, 26, 27). Findlay and colleagues stated that the substance was well tolerated, and there were only two cases of transient local skin erythema (25).
Four patients were excluded from the study by Lenselink and colleagues due to adverse effects related to the test product, which was a PHMB dressing (23). The substance was poorly tolerated in the cervical epithelium of mice, and was more cytotoxic than other polydisperse biguanides in an in vitro study (30).
Other
We found no studies in which the substance had been tested for MRSA decolonisation, nor any studies of its use in neonates, or studies in which its effect had been tested on naked viruses or spore-forming bacteria (e.g. Clostridium difficile).
Discussion
There is a paucity of studies on the clinical efficacy and safety of polyhexanide. In vitro studies have demonstrated antimicrobial efficacy on gram-negative bacteria, gram-positive bacteria and C. albicans. Currently no development of bacterial resistance has been observed from use of the substance. We are not aware of studies in which the antimicrobial efficacy has been investigated for applications requiring alternatives to existing antiseptics.
Efficacy
The MIC values for polyhexanide that were found by Koburger and colleagues varied from 0.5 mg/l to 4 mg/l for selected gram-negative and gram-positive bacteria (4). By contrast, a disinfecting substance approved by The Norwegian Medicines Agency for technical disinfection has a PHMB concentration of 9 g/l. The product is also approved for its effect on spores and mycobacteria (31). One study shows an MIC value of 5 mg/l for M. smegmatis (14), but we have found no articles on testing on Mycobacterium terrae or Mycobacterium avium, which are the species normally used for documentation of antimycobacterial efficacy.
Neither have we found published data on the antimicrobial efficacy of the substance on spores. Polyhexanide and chlorhexidine are somewhat similar chemically (Fig. 2) (32). It may therefore be assumed that their antimicrobial efficacy is similar, but chlorhexidine is not known for having antimicrobial efficacy on either spores or mycobacteria.
Polyhexanide has not been shown to have rapidly acting antimicrobial efficacy (4). It is therefore questionable whether the substance is suitable for preoperative skin disinfection, for example. Three of the industry-sponsored clinical trials (20, 21, 23) yielded positive results. In two of these, however, measurements were primarily for soft endpoints, such as pain and numbers of bacteria in wounds (20, 21), while in the third, results were only analysed for 16 of the original 28 patients (23). We consider their clinical relevance to be low.
In the two studies that examined the efficacy of PHMB products on human papilloma virus in the cervix (26, 27), these products also contained other substances that may have contributed to the effect (33). All the clinical trials have weaknesses in their study design – see Table 1 for further information. No protocol had been submitted to the public registry ClinicalTrials.gov (34) or another similar registry before the start of any of the studies included.
Polyhexanide is not recommended in key guidelines for hand hygiene (35) – (37), pre-operative skin disinfection (38), surgical hand disinfection (38) or technical disinfection in the health services (39, 40). Searches for «PHMB», «polyhexanide» or «polyhexamethylene biguanide» in an international database of guidelines gave no hits (41).
In most studies on skin disinfection, it is polyhexanide in bandages or compression dressings that is tested for efficacy in wounds. An article from the European Wound Management Association on antimicrobial treatment of non-healing wounds concludes that there is little to be said for the use of topical antibiotics or antiseptic treatments to prevent wound infection, particularly with regard to diabetic foot ulcers (42). They found no indications that topical antibiotic or antiseptic treatment can prevent reinfection, and state that there are few indications that antimicrobial agents in the dressing act in effective concentrations on the wound itself. This statement is not consistent with recommendations in industry-sponsored articles (4) – (7, 15, 16, 20, 22, 23), which wish to introduce the use of polyhexanide in wound care and dressings.
Adverse effects
The articles give the general impression that investigating or collecting data on adverse effects has not been prioritised. Adverse effects are often not systematically investigated in studies that deal primarily with efficacy. It is difficult to assess potential types and frequencies of adverse effects in a material that is based on very small studies. An in vitro and in vivo study (on mice) indicates that polyhexanide is cytotoxic for skin cells (30). The chemical similarity to chlorhexidine will probably also imply that the substance has similar adverse effects (hypersensitivity, anaphylaxis) and the same contraindications as for chlorhexidine (for example for use in the ear).
For assessment as a biocide, the European Chemicals Agency (ECHA) has prepared a document that proposes how polyhexanide should be classified and labelled. For example, the substance is classified as lethal when inhaled, is suspected of inducing cancer, may cause allergic skin reaction, causes serious eye injury, and damages the respiratory system upon repeated exposure (2). Classification as lethal when inhaled may mean that it will constitute a particular risk in aerosol form (3). The ECHA report also provides an introduction to the substance’s pharmacological toxicity and potential as a biocide, but does not include microbiological tests. No similar ECHA report on chlorhexidine exists.
Due to its status as lethal when inhaled, polyhexanide was prohibited in cosmetic products from 1 January 2015. In addition, the Scientific Committee on Consumer Safety (SCCS) warns especially against its use in spray formulations (43).
Conclusion
Better designed and larger-scale clinical trials which also make a thorough study of efficacy and safety are necessary to enable recommendations on the use of polyhexanide on skin, wounds and mucosa.
MAIN MESSAGE
The clinical efficacy and safety of polyhexanide is poorly documented.
In vitro studies have shown antimicrobial efficacy on gram-negative bacteria, gram-positive bacteria and Candida albicans.
Few adverse effects were reported in the clinical studies.
Better documentation should be available before antisepsis with polyhexanide can be recommended.
- 2.
European Chemicals Agency (ECHA). Committee for Risk Assessment RAC. Opinion proposing harmonised classification and labelling at EU level of Polyhexamethylene biguanide or Poly(hexamethylene) biguanide hydrochloride or PHMB. CLH-O-0000003799-56-03/F. Adopted 14.3.2014. http://echa.europa.eu (28.5.2015).
- 13.
Pinto F, Maillard JY, Denyer SP et al. Polyhexamethylene biguanide exposure leads to viral aggregation. J Appl Microbiol 2010; 108: 1880 – 8. [PubMed]
- 17.
Ousey K, McIntosh C. Topical antimicrobial substances for the treatment of chronic wounds. Br J Community Nurs 2009; 14 (suppl 4): S6 – 10, S8, S10 passim.
- 20.
Eberlein T, Haemmerle G, Signer M et al. Comparison of PHMB-containing dressing and silver dressings in patients with critically colonised or locally infected wounds. J Wound Care 2012; 21: 12 – 20, 14 – 6, 18 – 20.
- 23.
Lenselink E, Andriessen A. A cohort study on the efficacy of a polyhexanide-containing biocellulose dressing in the treatment of biofilms in wounds. J Wound Care 2011; 20: 534 – 9, 536 – 9.
- 25.
Findlay A, Serrano C, Punzalan S et al. Increased peritoneal dialysis exit site infections using topical antiseptic polyhexamethylene biguanide compared to mupirocin: results of a safety interim analysis of an open-label prospective randomized study. Antimicrob Substances Chemother 2013; 57: 2026 – 8. [PubMed] [CrossRef]
- 27.
Gerli S, Bavetta F, Di Renzo GC. Antisepsis regimen in the surgical treatment of HPV generated cervical lesions: polyhexamethylene biguanide vs chlorhexidine. A randomized, double blind study. Eur Rev Med Pharmacol Sci 2012; 16: 1994 – 8. [PubMed]
- 28.
Lethaby A, Temple J, Santy-Tomlinson J. Pin site care for preventing infections associated with external bone fixators and pins. Cochrane Database Syst Rev 2013; 12: CD004551. [PubMed]
- 31.
Statens legemiddelverk. Kjemiske desinfeksjonsmidler til teknisk bruk i helse- og sykepleie. Oslo: Statens legemiddelverk, 2014. www.slv.no/Godkjenning_og_regelverk/Desinfeksjonsmidler/PublishingImages/Desinfeksjonsmiddelliste%20sept%202014.pdf (18.12.2014).
- 32.
Martindale the complete drug reference. London: Pharmaceutical Press, 2014. www.medicinescomplete.com (1.8.2014).
- 33.
Monogin. www.lolipharma.net/it/prodotti/dispositivi-medici/monogin-ovuli.html (27.1.2016).
- 34.
ClinicalTrials.gov. https://clinicaltrials.gov/ (27.1.2016).
- 35.
Nasjonalt folkehelseinstitutt. Nasjonal veileder for håndhygiene. Om hvordan riktig håndhygiene kan hindre smittespredning og reduserer risikoen for infeksjoner. Oslo: Nasjonalt folkehelseinstitutt, 2004. www.fhi.no (1.8.2014).
- 36.
World Health Organization (WHO). WHO Guidelines on Hand Hygiene in Health Care. First Global Patient Safety Challenge Clean Care is Safer Care. Genève: WHO, 2009. www.who.int. (1.8.2014).
- 38.
WHO Guidelines for Safe Surgery 2009: Safe Surgery Saves Lives. Genève: WHO, 2009.
- 39.
Norsk Legemiddelhåndbok. L1.9.1 Kjemiske midler til teknisk desinfeksjon 2013. Norsk Legemiddelhåndbok. www.legemiddelhandboka.no (1.8.2014).
- 40.
Centers for Disease Control and Prevention (CDC). Guideline for Disinfection and Sterilization in Healthcare Facilities. Washington D.C.: Centers for Disease Control and Prevention, 2008. www.cdc.gov/ (1.8.2014).
- 41.
The Guidelines International Network (GIN). International Guideline Library: The Guidelines International Network (GIN). www.helsebiblioteket.no (5.12.2013).
- 43.
European Comission. SCCS (Scientific Committee on Consumer Safety). Opinion on the safety of poly(hexamethylene) biguanide hydrochloride or polyaminopropyl biguanide (PHMB) in cosmetic products, 18 June 2014, SCCS/1535/14, revision of 16 December 2014. http://ec.europa.eu/health/scientific_committees/consumer_safety/ (2.1.2015).